精英家教网 > 高中数学 > 题目详情

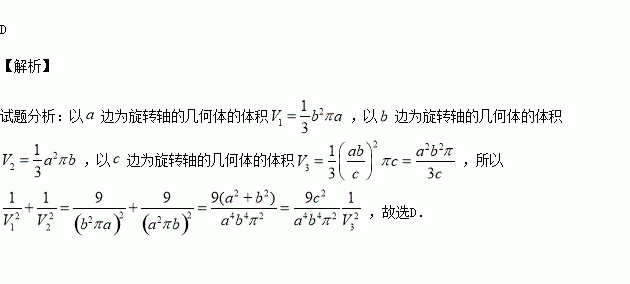
的角所对的边分别是(其中为斜边),分别以 边所在的直线为旋转轴,将旋转一周得到的几何体的体积分别是,则( )

A. B.

C. D.

练习册系列答案
相关习题

科目:高中数学 来源:2015-2016学年江西省吉安市高二上期中文科数学试卷(解析版) 题型:解答题

已知圆C经过点,和直线相切,且圆心在直线,求圆C的方程.

查看答案和解析>>

科目:高中数学 来源:2016届北京市朝阳区高三上学期期中统一考试理科数学试卷(解析版) 题型:解答题

已知函数

(Ⅰ)当时,求函数的单调区间;

(Ⅱ)当时,证明

查看答案和解析>>

科目:高中数学 来源:2016届浙江省绍兴市高三上学期期中文科数学试卷(解析版) 题型:填空题

边长为2的正三角形内(包括三边)有点,求的取值范围

查看答案和解析>>

科目:高中数学 来源:2016届浙江省绍兴市高三上学期期中理科数学试卷(解析版) 题型:填空题

已知几何体的三视图(如下图),则该几何体的体积为_________,表面积为___ __.

查看答案和解析>>

科目:高中数学 来源:2016届山西省高三10月月考理科数学试卷(解析版) 题型:选择题

已知点P为双曲线右支上一点,分别为双曲线的左右焦点,且,I为三角形的内心,若成立, 则的值为( )

A. B. C. D.

查看答案和解析>>

科目:高中数学 来源:2016届辽宁省沈阳市高三上学期期中文科数学试卷(解析版) 题型:选择题

已知向量,若,则= ( )

A.-4 B.-3 C.-2 D.-1

查看答案和解析>>

科目:高中数学 来源:2015-2016学年山西省高二上期中文科数学试卷(解析版) 题型:解答题

已知一个动点M在圆上移动,它与定点Q(4,0)所连线段的中点为P.

(1)求点P的轨迹方程.

(2)过定点(0,-3)的直线l与点P的轨迹交于不同的两点且满足,求直线l的方程.

查看答案和解析>>

科目:高中数学 来源:2015-2016学年湖北孝感高中高二上学期期中文科数学试卷(解析版) 题型:选择题

下边程序框图的算法思路源于我国古代数学名著《九章算术》中的“更相减损术”.执行该程序框图,若输入分别为14,18,则输出的

 

A.0 B.2 C.4 D.14

查看答案和解析>>

同步练习册答案