精英家教网 > 高中数学 > 题目详情

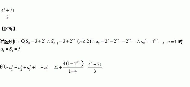
如果数列{an}的前n项之和为Sn=3+2n,那么=

练习册系列答案
相关习题

科目:高中数学 来源:2015-2016学年陕西省西安市高二上学期期中考试文科数学试卷(解析版) 题型:解答题

在△ABC中,a,b,c分别为内角A,B,C的对边,且2asin A=(2b+c)sin B+(2c+b)sin C.

(1)求A的大小;

(2)若sin B+sin C=1,试判断△ABC的形状.

查看答案和解析>>

科目:高中数学 来源:2015-2016学年西藏日喀则一中高二10月月考文数学试卷(解析版) 题型:选择题

如果满足,且,那么下列选项不恒成立的是( )

A. B.

C. D.

查看答案和解析>>

科目:高中数学 来源:2015-2016学年安徽师大附中高二上学期期中文科数学试卷(解析版) 题型:选择题

直线平行,则间的距离为( )

A. B. C. D.

查看答案和解析>>

科目:高中数学 来源:2015-2016学年四川省实验学校高二上学期期中理科数学试卷(解析版) 题型:填空题

关于图中的正方体,下列说法正确的有: ___________________.

点在线段上运动,棱锥体积不变;

点在线段上运动,二面角 不变;

③一个平面截此正方体,如果截面是三角形,则必为锐角三角形;

④一个平面截此正方体,如果截面是四边形,则必为平行四边形;

⑤平面截正方体得到一个六边形(如图所示),则截面在平面与平面间平行移动时此六边形周长先增大,后减小。

查看答案和解析>>

科目:高中数学 来源:2015-2016学年辽宁省葫芦岛市高一上学期期中考试数学试卷(解析版) 题型:解答题

已知函数

(1)如果求a的值

(2)问a为何值时,函数的最小值为-4

查看答案和解析>>

科目:高中数学 来源:2015-2016学年江西铅山一中 、横峰中学高二上学期期中理科数学卷(解析版) 题型:选择题

不等式≤0对于任意恒成立,则实数的取值范围是( )

A. B. C. D.

查看答案和解析>>

科目:高中数学 来源:2015-2016学年湖南省高二上学期期中文科数学试卷(解析版) 题型:填空题

已知tanα=4,tanβ=3,则tan(α+β)=

查看答案和解析>>

科目:高中数学 来源:2015-2016学年湖南省高二上学期期中考试理科数学试卷(解析版) 题型:选择题

方程,所表示的曲线可能是( )

查看答案和解析>>

同步练习册答案