精英家教网 > 高中数学 > 题目详情

(本小题满分分)

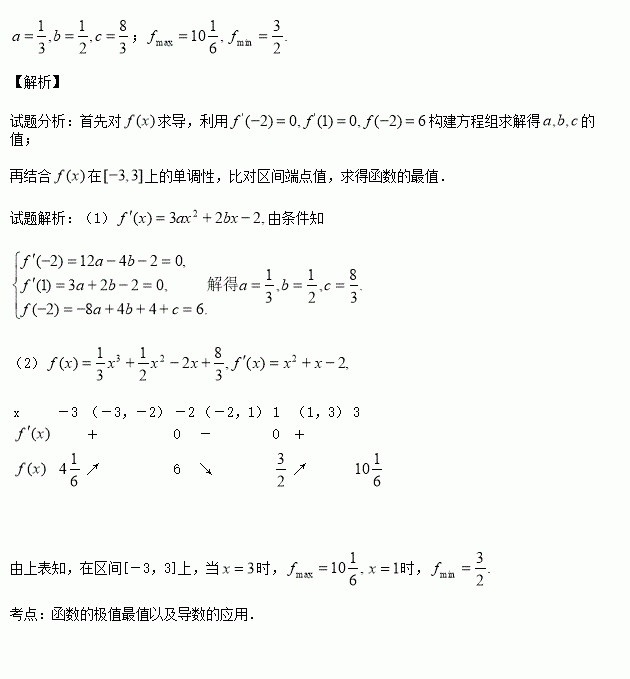
已知时有极大值6,在时有极小值,求的值;并求在区间[-3,3]上的最大值和最小值.

练习册系列答案
相关习题

科目:高中数学 来源:2014-2015学年广东省清远市高二下学期3月考理科数学试卷(解析版) 题型:选择题

函数的大致图像为( )

查看答案和解析>>

科目:高中数学 来源:2014-2015学年广东省揭阳市高二下学期第一次段考理科数学试卷(解析版) 题型:选择题

中,,则( )

A. B. C. D.以上答案都不对

查看答案和解析>>

科目:高中数学 来源:2014-2015学年广东省高一下学期第一次质检数学试卷(解析版) 题型:选择题

的三内角的对边边长分别为,若,则( )

A. B. C. D.

查看答案和解析>>

科目:高中数学 来源:2014-2015学年广东省高一下学期第一次质检数学试卷(解析版) 题型:选择题

,若,则下列不等式中正确的是( )

A. B. C. D.

查看答案和解析>>

科目:高中数学 来源:2014-2015学年广东省高二下学期第一次质检理科数学卷(解析版) 题型:填空题

,若,则

查看答案和解析>>

科目:高中数学 来源:2014-2015学年广东省高二下学期第一次质检理科数学卷(解析版) 题型:选择题

抛物线:的焦点坐标是( )

A. B. C. D.

查看答案和解析>>

科目:高中数学 来源:2014-2015学年福建省四地六校高二下学期第一次联考理科数学试卷(解析版) 题型:选择题

的展开式中的的系数为( )

A.210 B.-210 C.-910 D.280

查看答案和解析>>

科目:高中数学 来源:2014-2015学年安徽省高一下学期第一次质量检测数学试卷(解析版) 题型:填空题

已知半径为2的扇形的面积为4,则这个扇形的圆心角为 ____.

查看答案和解析>>

同步练习册答案