精英家教网 > 高中数学 > 题目详情

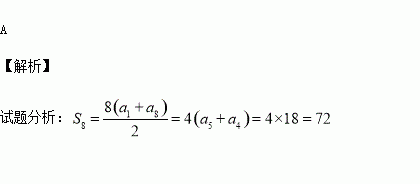
已知等差数列{an}的前项和,若,则=

A.72 B.54 C.36 D.18

练习册系列答案
相关习题

科目:高中数学 来源:2015-2016学年湖北省黄石市高二下期中文科数学试卷(解析版) 题型:选择题

下列四种说法中,正确的个数有( )

① 命题“,均有”的否定是:“,使得”;

,使是幂函数,且在上是单调递增;

③ 不过原点的直线方程都可以表示成

④ 回归直线的斜率的估计值为1.23,样本点的中心为(4,5),则回归直线方程为=1.23x+0.08

A.3个 B.2个 C.1个 D.0个

查看答案和解析>>

科目:高中数学 来源:2015-2016学年湖北省襄阳市四校高一下学期期中联考数学试卷(解析版) 题型:填空题

用正奇数按下表排列

第1列

第2列

第3列

第4列

第5列

第一行

1

3

5

7

第二行

15

13

11

9

第三行

17

19

21

23

27

25

则2017在第 行第 列. ( )

A.第253行第1列 B.第253行第2列

C.第252行第3列 D.第254行第2列

查看答案和解析>>

科目:高中数学 来源:2015-2016学年河南省高一下期中数学试卷(解析版) 题型:解答题

设a,b,c分别是△ABC的三个内角A、B、C所对的边,S是△ABC的面积,已知a=4,b=5,S=5

(1)求角C;

(2)求c边的长度.

查看答案和解析>>

科目:高中数学 来源:2015-2016学年河南省高一下期中数学试卷(解析版) 题型:选择题

若变量x,y满足约束条件,则Z=x+2y的最大值是( )

A. B.0 C. D.

查看答案和解析>>

科目:高中数学 来源:2015-2016学年广东省高一下第一次月考文科数学试卷(解析版) 题型:解答题

已知圆C:.

(1)若圆C的切线在x轴和y轴上的截距相等,且截距不为零,求此切线的方程;

(2)从圆C外一点P向该圆引一条切线,切点为M,O为坐标原点,且有,求使得取得最小值的点P的坐标

查看答案和解析>>

科目:高中数学 来源:2015-2016学年广东省高一下第一次月考文科数学试卷(解析版) 题型:填空题

从等腰直角的斜边BC上任取一点D,则为锐角三角形的概率为_________.

查看答案和解析>>

科目:高中数学 来源:2016届湖南师大附中高三下学期高考模拟三文科数学试卷(解析版) 题型:解答题

选修4-1:几何证明选讲

如图,已知为圆的一条直径,以端点为圆心的圆交直线两点,交圆两点,过点作垂直于的直线,交直线点.

(1)求证:四点共圆;

(2)若,求外接圆的半径.

查看答案和解析>>

科目:高中数学 来源:2016届辽宁省锦州市高三下学期质量检测二文科数学试卷(解析版) 题型:选择题

如图是秦九韶算法一个程序框图, 则输出的为( )

A.的值

B.的值

C.的值

D.的值

查看答案和解析>>

同步练习册答案