精英家教网 > 高中数学 > 题目详情

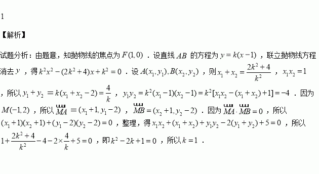
已知抛物线与点,过的焦点,且斜率为的直线与交于两点,若,则

练习册系列答案
相关习题

科目:高中数学 来源:2015-2016学年辽宁省协作校高二下期末数学(理)试卷(解析版) 题型:填空题

已知函数,存在,使,则 的最大值为

查看答案和解析>>

科目:高中数学 来源:2016届陕西省高三高考全真模拟(五)考试数学(文)试卷(解析版) 题型:解答题

椭圆)的左右焦点分别为,且离心率为,点为椭圆上一动点,面积的最大值为

(1)求椭圆的方程;

(2)设椭圆的左顶点为,过右焦点的直线与椭圆相交于两点,连结并延长交直线分别于两点,问是否为定值?若是,求出此定值;若不是,请说明理由.

查看答案和解析>>

科目:高中数学 来源:2016届陕西省高三高考全真模拟(五)考试数学(文)试卷(解析版) 题型:选择题

已知命题,则是( )

A. B.

C. D.

查看答案和解析>>

科目:高中数学 来源:2016届陕西省高三高考全真模拟(五)考试数学(理)试卷(解析版) 题型:解答题

椭圆的左、右焦点分别为,且离心率为,点为椭圆上一动点, 内切圆面积的最大值为.

(1)求椭圆的方程;

(2)设椭圆的左顶点为,过右焦点的直线与椭圆相交于两点,连接并延长分别交直线两点,以为直径的圆是否恒过定点?若是,请求出定点坐标;若不是,请说明理由.

查看答案和解析>>

科目:高中数学 来源:2016届陕西省高三高考全真模拟(五)考试数学(理)试卷(解析版) 题型:选择题

曲线在点处的切线与坐标轴所围成的三角形的面积为( )

A. B. C. D.

查看答案和解析>>

科目:高中数学 来源:2016届陕西省高三高考全真模拟(五)考试数学(理)试卷(解析版) 题型:选择题

已知命题,则是( )

A. B.

C. D.

查看答案和解析>>

科目:高中数学 来源:2016届山西省高三高考考前质量检测考试(三)数学(文)试卷(解析版) 题型:选择题

在体积为的三棱锥中,,且平面平面,若该三棱锥的四个顶点都在同一球面上,则该球的体积是( )

A. B. C. D.

查看答案和解析>>

科目:高中数学 来源:2015-2016学年浙江湖州中学高二下学期期中数学试卷(解析版) 题型:填空题

已知函数,若互不相等,且,则的取值范围是

查看答案和解析>>

同步练习册答案