精英家教网 > 高中数学 > 题目详情

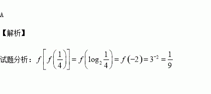
已知函数,则的值是( )

A. B. C. D.

练习册系列答案
相关习题

科目:高中数学 来源:2015-2016学年辽宁省高二上10月月考理科数学试卷(解析版) 题型:解答题

(2015秋•沈阳校级月考)某农场计划种植某种新作物,为此对这种作物的两个品种(分别称为品种甲和品种乙)进行田间试验.选取两大块地,每大块地分成n小块地,在总共2n小块地中,随机选n小块地种植品种甲,另外n小块地种植品种乙.

品种甲

403

397

390

404

388

400

412

406

品种乙

419

403

412

418

408

423

400

413

(1)假设n=2,求第一大块地都种植品种甲的概率;

(2)试验时每大块地分成8小块,即n=8,试验结束后得到品种甲和品种乙在个小块地上的每公顷产量(单位:kg/hm2)如表:分别求品种甲和品种乙的每公顷产量的样本平均数和样本方差;根据试验结果,你认为应该种植哪一品种?

查看答案和解析>>

科目:高中数学 来源:2015-2016学年广东省顺德市高二上第二次段考文科数学试卷(解析版) 题型:选择题

(2012•靖宇县校级模拟)三棱锥P﹣ABC的高为PH,若三个侧面两两垂直,则H为△ABC的( )

A.内心 B.外心 C.垂心 D.重心

查看答案和解析>>

科目:高中数学 来源:2015-2016学年江西省南昌市高一10月月考数学试卷(解析版) 题型:选择题

函数f(x)=4x2-mx+5在区间[-2,+∞]上是增函数,在区间(-∞,-2)上是减函数,则

f(1)等于( )

A.-7 B.1 C.17 D.25

查看答案和解析>>

科目:高中数学 来源:2015-2016学年内蒙古赤峰市高一9月月考数学试卷(解析版) 题型:选择题

下列式子中,正确的是( )

A.

B.

C.空集是任何集合的真子集

D.

查看答案和解析>>

科目:高中数学 来源:2016届江苏省高三上第十八周周练数学试卷(解析版) 题型:填空题

某校高一年级有900名学生,其中女生400名,按男女比例用分层抽样的方法,从该年级学生

中抽取一个容量为45的样本,则应抽取的男生人数为________.

查看答案和解析>>

科目:高中数学 来源:2015-2016学年江西省高一上第二次段考数学试卷(解析版) 题型:填空题

下列说法正确的序号是

(1)第一象限角是锐角;

(2)函数的单调增区间为

(3)函数是周期为的偶函数;

(4)方程只有一个解

查看答案和解析>>

科目:高中数学 来源:2016届江苏省高三12月月考数学试卷(解析版) 题型:解答题

抛掷甲,乙两枚质地均匀且四面上分别标有1,2,3,4的正四面体,其底面落于桌面,记底面上所得的数字分别为x,y.记表示的整数部分,如:,设为随机变量,

(Ⅰ)求概率

(Ⅱ)求的分布列,并求其数学期望

查看答案和解析>>

科目:高中数学 来源:2016届安徽省高三上第五次月考文科数学试卷(解析版) 题型:选择题

与椭圆共焦点且过点的双曲线方程是( )

A.

B.

C.

D.

查看答案和解析>>

同步练习册答案