精英家教网 > 高中数学 > 题目详情

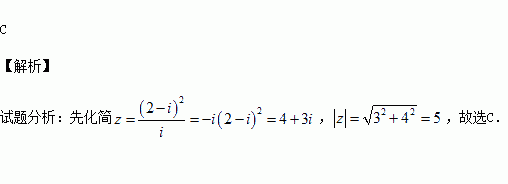
复数,则( )

A.25 B. C.5 D.

练习册系列答案
相关习题

科目:高中数学 来源:2016届安徽省等高三第三次联考理科数学试卷(解析版) 题型:选择题

已知函数,将的图像上各点的横坐标缩短为原来的倍,纵坐标不变,再将所得图像向右平移个单位,得到函数的图像,则函数的解析式是( )

A.

B.

C.

D.

查看答案和解析>>

科目:高中数学 来源:2015-2016学年四川树德、雅安中学高一10月考试数学卷(解析版) 题型:填空题

已知集合,若,则实数的取值集合为________.

查看答案和解析>>

科目:高中数学 来源:2015-2016学年黑龙江齐齐哈尔实验中学高一上期中数学卷(解析版) 题型:选择题

已知是偶函数,它在上是减函数,若,则的取值范围是( )

A. B. C. D.

查看答案和解析>>

科目:高中数学 来源:2016届浙江省富阳市高三上学期第二次质量检测理科数学试卷(解析版) 题型:选择题

某几何体的三视图如图所示,则该几何体的体积为( )

A. B. C. D.

查看答案和解析>>

科目:高中数学 来源:2015-2016学年江苏省高一上期中数学试卷(解析版) 题型:填空题

二次函数y=3x2+2(m-1)x+n在区间上是减函数,在区间上是增函数,则实数m=

查看答案和解析>>

科目:高中数学 来源:2015-2016学年贵州省贵阳市高一上期中数学试卷(解析版) 题型:填空题

已知函数,(上的减函数,则的取值范围是

查看答案和解析>>

科目:高中数学 来源:2015-2016学年福建省高二上期中理科数学试卷(解析版) 题型:填空题

设函数,则不等式的解集是

查看答案和解析>>

科目:高中数学 来源:2015-2016学年河南省高一12月月考数学试卷(解析版) 题型:选择题

用到球心距离为2的平面去截球,所得的截面面积为,则球的体积为( )

A. B. C. D.

查看答案和解析>>

同步练习册答案