精英家教网 > 高中数学 > 题目详情

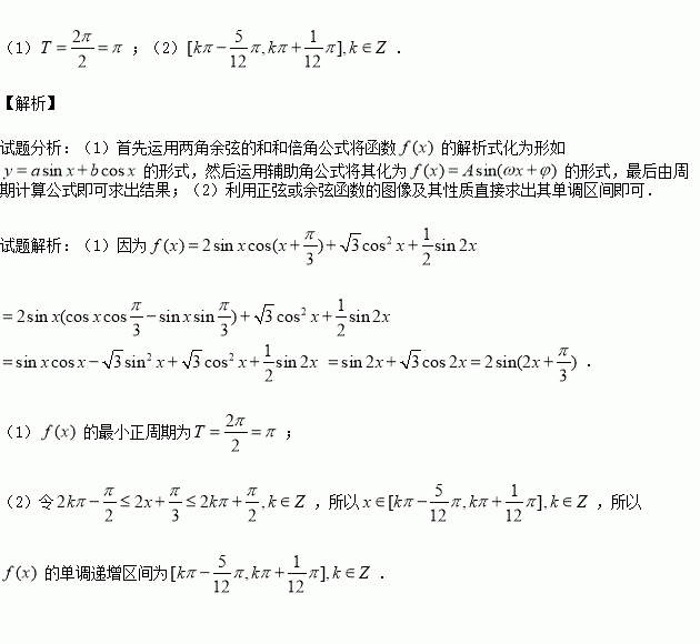
已知函数

(1)求函数的最小正周期;

(2)求函数的单调递增区间.

练习册系列答案
相关习题

科目:高中数学 来源:2015-2016学年广西省钦州市钦南区高二上学期期中考试理科数学试卷(解析版) 题型:选择题

”是“ 函数在区间上单调递减”的

A.充分不必要条件 B.必要不充分条件

C.充分必要条件 D.既不充分也不必要条件

查看答案和解析>>

科目:高中数学 来源:2016届浙江省绍兴市高三上学期期中理科数学试卷(解析版) 题型:选择题

设点,如果直线与线段有一个公共点,那么 ( )

A.最小值为 B.最小值为

C.最大值为 D.最大值为

查看答案和解析>>

科目:高中数学 来源:2016届辽宁省沈阳市高三上学期期中文科数学试卷(解析版) 题型:选择题

,则的大小关系是( )

A. B. C. D.

查看答案和解析>>

科目:高中数学 来源:2016届江苏省高三上学期周练数学试卷(解析版) 题型:解答题

如图,在四棱锥P-ABCD中,,E为PD的中点.

求证:(1)平面PBC;

(2)平面ACE.

查看答案和解析>>

科目:高中数学 来源:2015-2016学年山西省高二上期中文科数学试卷(解析版) 题型:解答题

在三棱柱ABC-A1B1C1中,侧棱AA1⊥底面ABC, 是等边三角形.

(1)在棱AC上是否存在一点M,使直线AB1//平面BMC1,请证明你的结论.

(2)设D为AC的中点,P为AB1上的动点, 且AB=2,AA1=.求三棱锥P-BC1D的体积.

查看答案和解析>>

科目:高中数学 来源:2015-2016学年山西省高二上期中理科数学试卷(解析版) 题型:填空题

长方体中,,,则点到平面的距离等于

查看答案和解析>>

科目:高中数学 来源:2015-2016学年江苏省高一10月月考数学试卷(解析版) 题型:填空题

,则的解析式为

查看答案和解析>>

科目:高中数学 来源:2016届宁夏吴忠中学高三上第四次月考文科数学试卷(解析版) 题型:解答题

已知抛物线上点到焦点的距离为4.

(1)求抛物线方程;

(2)点为准线上任意一点,为抛物线上过焦点的任意一条弦(如图),设直线的斜率为,问是否存在实数,使得恒成立.若存在,请求出的值;若不存在,请说明理由.

查看答案和解析>>

同步练习册答案