精英家教网 > 高中数学 > 题目详情
已知函数f(x)=lnx-ax2+(a-1)x(a∈R且a≠0),
(1)求函数f(x)的单调区间;
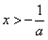
(2)记函数y=F(x)的图象为曲线C。设点A(x1,y1),B(x2,y2)是曲线C上的不同两点。如果在曲线C上存在点M(x0,y0),使得:①;②曲线C在点M处的切线平行于直线AB,则称函数F(x)存在“中值相依切线”。试问:函数f(x)是否存在“中值相依切线”,请说明理由。
解:(Ⅰ)显然函数f(x)的定义域是(0,+∞),
由已知得,
(1)当时,
,解得
,解得
所以函数f(x)在(0,1)上单调递增,在(1,+∞)上单调递减;
(2)当时,
①当时,即时,
,解得; 
,解得
所以,函数f(x)在上单调递增,在上单调递减;
②当时,即a=-1时, 显然,函数f(x)在(0,+∞)上单调递增;
③当时,即时,
,解得
,解得
所以,函数f(x)在(0,1)和上单调递增,在上单调递减;
综上所述,(1)当时,函数f(x)在(0,1)上单调递增,
在(1,+∞)上单调递减;
(2)当时,函数f(x)在和(1,+∞)上单调递增,在上单调递减;
(3)当时,函数f(x)在(0,+∞)上单调递增;
(4)当时,函数f(x)在(0,1)和上单调递增,
上单调递减;
(Ⅱ)假设函数f(x)存在“中值相依切线”, 
是曲线y=f(x)上的不同两点,且
,  
      

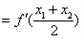
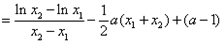
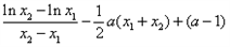
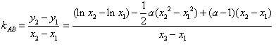
曲线在点处的切线斜率, 
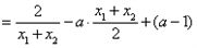
依题意得:
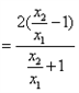
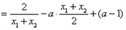
化简可得: ,  
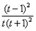
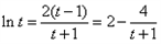
=
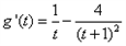
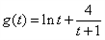
(t>1),上式化为:,   
, 

因为,显然g′(t)>0,所以g(t)在(1,+∞)上递增,  
显然有g(t)>2恒成立;
所以在(1,+∞)内不存在t,使得成立;
综上所述,假设不成立,所以,函数f(x)不存在“中值相依切线”。
练习册系列答案
相关习题

科目:高中数学 来源: 题型:

已知函数f(x)=2x-2+ae-x(a∈R)
(1)若曲线y=f(x)在点(1,f(1))处的切线平行于x轴,求a的值;
(2)当a=1时,若直线l:y=kx-2与曲线y=f(x)在(-∞,0)上有公共点,求k的取值范围.

查看答案和解析>>

科目:高中数学 来源: 题型:

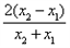
已知函数f(x)=x2+2|lnx-1|.
(1)求函数y=f(x)的最小值;
(2)证明:对任意x∈[1,+∞),lnx≥
2(x-1)
x+1
恒成立;
(3)对于函数f(x)图象上的不同两点A(x1,y1),B(x2,y2)(x1<x2),如果在函数f(x)图象上存在点M(x0,y0)(其中x0∈(x1,x2))使得点M处的切线l∥AB,则称直线AB存在“伴侣切线”.特别地,当x0=
x1+x2
2
时,又称直线AB存在“中值伴侣切线”.试问:当x≥e时,对于函数f(x)图象上不同两点A、B,直线AB是否存在“中值伴侣切线”?证明你的结论.

查看答案和解析>>

科目:高中数学 来源: 题型:

已知函数f(x)=x2-bx的图象在点A(1,f(1))处的切线l与直线x+3y-1=0垂直,若数列{
1
f(n)
}的前n项和为Sn,则S2012的值为(  )

查看答案和解析>>

科目:高中数学 来源: 题型:

已知函数f(x)=xlnx
(Ⅰ)求函数f(x)的极值点;
(Ⅱ)若直线l过点(0,-1),并且与曲线y=f(x)相切,求直线l的方程.

查看答案和解析>>

科目:高中数学 来源: 题型:

已知函数f(x)=
3
x
a
+
3
(a-1)
x
,a≠0且a≠1.
(1)试就实数a的不同取值,写出该函数的单调增区间;
(2)已知当x>0时,函数在(0,
6
)上单调递减,在(
6
,+∞)上单调递增,求a的值并写出函数的解析式;
(3)记(2)中的函数图象为曲线C,试问是否存在经过原点的直线l,使得l为曲线C的对称轴?若存在,求出直线l的方程;若不存在,请说明理由.

查看答案和解析>>

同步练习册答案