精英家教网 > 高中数学 > 题目详情
在等比数列{an}中,an>0,a1+a2=1,a3+a4=9,则a4+a5=   
【答案】分析:设公比为q,由条件可得=1,且 =9,求出a1和公比q的值,即可求得a4+a5的值.
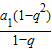
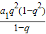
解答:解:在等比数列中,an>0,设公比为q,由条件a1+a2=1,a3+a4=9可得,
=1,且 =9.
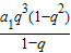
解得q=3,a1 =.∴a4+a5==27,
故答案为 27.
点评:本题考查等比数列的定义和性质,等比数列的通项公式,等比数列的前n项和公式,属于中档题.
练习册系列答案
相关习题

科目:高中数学 来源: 题型:

在等比数列{an}中,a4=
2
3
 , a3+a5=
20
9

(1)求数列{an}的通项公式;
(2)若数列{an}的公比大于1,且bn=log3
an
2
,求数列{bn}的前n项和Sn

查看答案和解析>>

科目:高中数学 来源: 题型:

在等比数列{an}中,若a1=1,公比q=2,则a12+a22+…+an2=(  )
A、(2n-1)2
B、
1
3
(2n-1)
C、4n-1
D、
1
3
(4n-1)

查看答案和解析>>

科目:高中数学 来源: 题型:

在等比数列{an}中,如果a1+a3=4,a2+a4=8,那么该数列的前8项和为(  )

查看答案和解析>>

科目:高中数学 来源: 题型:

在等比数列{an}中,a1=1,8a2+a5=0,数列{
1
an
}
的前n项和为Sn,则S5=(  )

查看答案和解析>>

科目:高中数学 来源: 题型:

在等比数列{an}中,an>0且a2=1-a1,a4=9-a3,则a5+a6=
81
81

查看答案和解析>>

同步练习册答案