精英家教网 > 高中数学 > 题目详情
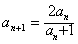
在数列{an}中,,且对任意的n∈N*都有
(1)求证:是等比数列;
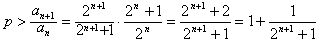
(2)若对任意的n∈N*都有an+1<pan,求实数p的取值范围。
解:(1)证明:由

又由,得
是以为首项,以为公比的等比数列。
(2)解:由(1),可得



显然,当n=1时,值最大,最大值为
∴实数p的取值范围为
练习册系列答案
相关习题

科目:高中数学 来源: 题型:

1、已知点(n,an)(n∈N*)都在直线3x-y-24=0上,那么在数列an中有a7+a9=(  )

查看答案和解析>>

科目:高中数学 来源: 题型:

在数列{an}中,a1=2,an+1=an+ln(1+
1n
)
,则an=
 

查看答案和解析>>

科目:高中数学 来源: 题型:

14、在数列{an}中,若a1=1,an+1=an+2(n≥1),则该数列的通项an=
2n-1

查看答案和解析>>

科目:高中数学 来源: 题型:

在数列{an}中a1=
1
2
a2=
1
5
,且an+1=
(n-1)an
n-2an
(n≥2)

(1)求a3、a4,并求出数列{an}的通项公式;
(2)设bn=
anan+1
an
+
an+1
,求证:对?n∈N*,都有b1+b2+…bn
3n-1
3

查看答案和解析>>

科目:高中数学 来源: 题型:

一般地,在数列{an}中,如果存在非零常数T,使得am+T=am对任意正整数m均成立,那么就称{an}为周期数列,其中T叫做数列{an}的周期.已知数列{xn}满足xn+1=|xn-xn-1|(n≥2,n∈N*),如果x1=1,x2=a,(a≤1,a≠0),设S2009为其前2009项的和,则当数列{xn}的周期为3时,S2009=
1339+a
1339+a

查看答案和解析>>

同步练习册答案