精英家教网 > 高中数学 > 题目详情

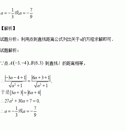
(本小题满分12分)已知点到直线的距离相等,求得值.

练习册系列答案
相关习题

科目:高中数学 来源:2015-2016学年河北衡水冀州中学高二上期中理科数学B卷(解析版) 题型:解答题

(本小题12分)某校从参加某次知识竞赛的同学中,选取60名同学将其成绩(百分制,均为整数)分成六组后,得到频率分布直方图(如图),观察图形中的信息,回答下列问题.

(1)从频率分布直方图中,估计本次考试成绩的中位数;

(2)若从第1组和第6组两组学生中,随机抽取2人,求所抽取2人成绩之差的绝对值大于10的概率.

查看答案和解析>>

科目:高中数学 来源:2015-2016学年四川省高二10月月考数学试卷(解析版) 题型:选择题

如图是正方体的平面展开图.在这个正方体中,①BM与ED平行;②CN与BE是异面直线;③CN与BM成60°角;④DM与BN垂直.

以上四个命题中,正确的命题序号是( )

A.①②③ B.③④ C.②④ D.②③④

查看答案和解析>>

科目:高中数学 来源:2015-2016学年湖北荆州中学高一上学期期中文科数学试卷(解析版) 题型:解答题

(本小题12分)已知函数满足:对于任意都有,且时,

(1)证明函数是奇函数;

(2)判断并证明函数上的单调性,然后求函数上的最值;

(3)解不等式:

查看答案和解析>>

科目:高中数学 来源:2015-2016学年湖北荆州中学高一上学期期中理科数学试卷(解析版) 题型:解答题

(本小题10分)

(1)

(2)

查看答案和解析>>

科目:高中数学 来源:2015-2016学年湖北荆州中学高二上学期期中文科数学试卷(解析版) 题型:填空题

已知点,且,则实数的值是( ).

A.或4 B.或2 C.3或 D.6或

查看答案和解析>>

科目:高中数学 来源:2016届广东省惠州市高三上学期第二次调研考试文科数学试卷(解析版) 题型:解答题

(本小题满分12分)已知数列{}的前n项和为,且满足

(Ⅰ)证明:数列为等比数列,并求数列{}的通项公式;

(Ⅱ)数列{}满足,其前n项和为,试求满足的最小正整数n.

查看答案和解析>>

科目:高中数学 来源:2014-2015学年海南省高三下学期大测三文科数学试卷(解析版) 题型:选择题

已知集合U={1,3,5,7,9},A={1,5,7},则=( )

A、{1,3} B、{3,7,9} C、{3,5,9} D、{3,9}

查看答案和解析>>

科目:高中数学 来源:2014-2015学年四川省高二下学期4月月考理科数学试卷(解析版) 题型:选择题

已知双曲线的左顶点与抛物线的焦点之间的距离为4,且双曲线的一条渐近线与抛物线的准线的交点坐标为,则双曲线的焦距为( )

A、 B、 C、 D、

查看答案和解析>>

同步练习册答案