精英家教网 > 高中数学 > 题目详情

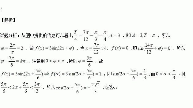
已知函数的部分图象如图所示,且,则( )

A. B. C. D.

练习册系列答案
相关习题

科目:高中数学 来源:2016届福建厦门外国语学校高三5月适应性数学(文)试卷(解析版) 题型:选择题

在三棱锥中,中点为,则此三棱锥的外接球的表面积为( )

A. B. C. D.

查看答案和解析>>

科目:高中数学 来源:2016届四川泸州市高三教学诊断性考试三数学(理)试卷(解析版) 题型:填空题

函数图像上不同两点处的切线的斜率分别是

两点间距离,定义为曲线在点与点之间的“曲率”,给出以下命题:

①存在这样的函数,该函数图像上任意两点之间的“曲率”为常数;

②函数图像上两点的横坐标分别为1,2,则 “曲率”

③函数图像上任意两点之间 的“曲率”

④设是曲线上不同两点,且,若恒成立,则实数

的取值范围是。其中正确命题的序号为_____________(填上所有正确命题的序号)。

查看答案和解析>>

科目:高中数学 来源:2016届陕西省高三下学期教学质检二数学(文)试卷(解析版) 题型:解答题

选修4-1:几何证明选讲

如图,已知圆相交于两点,过点作圆的切线交圆于点,过点作两圆的割线,分别交圆、圆于点相交于点

(Ⅰ)求证:

(Ⅱ)若是圆的切线,且,求的长。

查看答案和解析>>

科目:高中数学 来源:2016届陕西省高三下学期教学质检二数学(文)试卷(解析版) 题型:填空题

若向量,则的单位向量的坐标是______。

查看答案和解析>>

科目:高中数学 来源:2016届陕西省高三下学期教学质检二数学(文)试卷(解析版) 题型:选择题

某几何体的三视图如图所示,则此几何体的体积是( )

A. B. C. D.

查看答案和解析>>

科目:高中数学 来源:2016届陕西省高三下学期教学质检二数学(理)试卷(解析版) 题型:解答题

选修4-1:几何证明选讲

如下图,已知的直径,上的两点,,过点的切线

延长线于点,连接于点

求证:

查看答案和解析>>

科目:高中数学 来源:2016届陕西省高三下学期教学质检二数学(理)试卷(解析版) 题型:选择题

某几何体的三视图如图所示,则此几何体的体积是( )

A. B. C. D.

查看答案和解析>>

科目:高中数学 来源:2016届陕西省高三高考全真模拟四数学(理)试卷(解析版) 题型:选择题

定义在的函数的导函数为,对于任意的,恒有,则的大小关系是( )

A. B. C. D.无法确定

查看答案和解析>>

同步练习册答案