精英家教网 > 高中数学 > 题目详情
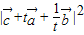
已知a,b是两个互相垂直的单位向量,且c•a=1,c•b=1,,则对任意的正实数t,的最小值是   
【答案】分析:用向量垂直的条件数量积为零,再利用模的平方等于向量的平方得到关于t的函数,函数的特点是乘积为定值,用基本不等式求最小值.
解答:解:∵是两个互相垂直的单位向量

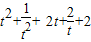
==
=≥2+4+2=8
当且仅当即t=1时取等号
的最小值为
点评:向量求模的方法是根据模的平方等于向量的平方;用基本不等式求最值时要注意:一正、二定、三相等.
练习册系列答案
相关习题

科目:高中数学 来源: 题型:

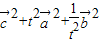
已知
a
b
是两个互相垂直的单位向量,且
c
a
=1,
c
b
=1,|
c
|=
2
,则对任意的正实数t,|
c
+t
a
+
1
t
b
|的最小值是
 

查看答案和解析>>

科目:高中数学 来源: 题型:

(2012•西区模拟)已知
a
b
是两个互相垂直的单位向量,且
c
a
=
c
d
=1
|
c
|=
2
,则对任意的正实数t,|
c
+t
a
+
1
t
b
|
的最小值(  )

查看答案和解析>>

科目:高中数学 来源: 题型:

(2012•广西模拟)已知
a
b
是两个互相垂直的单位向量,且
c
a
=1,
c
b
=1,|
c
|=
2
m
=t
a
则对任意的正实数t,|
c
+
m
+
1
t
b
|
的最小值是(  )

查看答案和解析>>

科目:高中数学 来源: 题型:

已知
a
b
是两个互相垂直的单位向量,且
c
a
=
c
b
=1,则对任意的正实数t,|
c
+t
a
+
1
t
b
|的最小值是(  )
A、2
B、2
2
C、4
D、4
2

查看答案和解析>>

科目:高中数学 来源:2011-2012学年东北四校高三第一次高考模拟考试理科数学 题型:选择题

已知a,b是两个互相垂直的单位向量,且

则对任意的正实数t,的最小值是(    )

    A.2                B.            C.4                D.

 

查看答案和解析>>

同步练习册答案