精英家教网 > 高中数学 > 题目详情

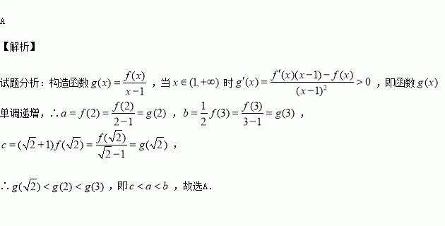
定义在上的可导函数,当时,恒成立,,则的大小关系为( )

A. B. C. D.

练习册系列答案
相关习题

科目:高中数学 来源:2016届湖南省株洲市高三上学期期中理科数学试卷(解析版) 题型:填空题

如图,在平面直角坐标系中,边长为的一组正三角形的底边依次排列在轴上(与坐标原点重合)。设是首项为,公差为的等差数列,若所有正三角形顶点在第一象限,且均落在抛物线上,则的值为

查看答案和解析>>

科目:高中数学 来源:2015-2016学年湖南衡阳八中高二上第二次月考理科数学卷(解析版) 题型:解答题

已知函数的图象在点为自然对数的底数)处的切线斜率为3.

(1)求实数的值 ;

(2)若,且对任意恒成立,求最大值;

(3)当时,证明

查看答案和解析>>

科目:高中数学 来源:2016届四川省成都市高三11月阶段测试文科数学试卷(解析版) 题型:解答题

设命题;命题

(1)若命题所表示不等式的解集为,求实数的值;

(2)若的必要不充分条件,求实数t的取值范围.

查看答案和解析>>

科目:高中数学 来源:2016届四川省成都市高三11月阶段测试理科数学试卷(解析版) 题型:填空题

函数的定义域为

查看答案和解析>>

科目:高中数学 来源:2016届湖南师范大学附中高三上学期月考三理科数学试卷(解析版) 题型:解答题

是指大气中直径小于或等于2.5微米的颗粒物,也称为可入肺颗粒物.我国标准采用世卫组织设定的最宽界限,即日均值在35微克/立方米以下空气质量为一级;在35微克/立方米~70微克/立方米之间空气质量为二级;在75微克/立方米以上空气质量为超标.某市环保局从市区今年9月每天的监测数据中,按系统抽样方法抽取了某6天的数据作为样本,其监测值如下茎叶图所示.

(1)根据样本数据估计今年9月份该市区每天的平均值和方差;

(2)从所抽样的6天中任意抽取三天,记表示抽取的三天中空气质量为二级的天数,求的分布列和数学期望.

查看答案和解析>>

科目:高中数学 来源:2016届甘肃省高三12月月考文科数学试卷(解析版) 题型:填空题

设三棱柱的侧棱垂直于底面,,且三棱柱的所有顶点都在同一球面上,则该球的表面积是

查看答案和解析>>

科目:高中数学 来源:2016届福建省高三上学期半期考试理科数学试卷(解析版) 题型:填空题

已知,给出以下四个命题:

(1)若,则

(2)直线是函数图像的一条对称轴;

(3)在区间上函数是增函数;

(4)函数的图像可由的图像向右平移个单位而得到.

其中正确命题的序号为

查看答案和解析>>

科目:高中数学 来源:2016届辽宁省抚顺市高三12月月考文科数学试卷(解析版) 题型:选择题

若正数,满,满足,则的最小值是( )

A.2 B.3 C.4 D.5

查看答案和解析>>

同步练习册答案