精英家教网 > 高中数学 > 题目详情

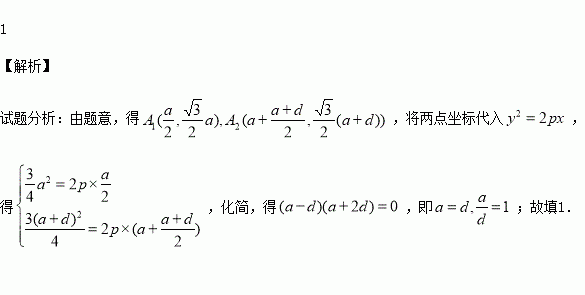
如图,在平面直角坐标系中,边长为的一组正三角形的底边依次排列在轴上(与坐标原点重合)。设是首项为,公差为的等差数列,若所有正三角形顶点在第一象限,且均落在抛物线上,则的值为

练习册系列答案
相关习题

科目:高中数学 来源:2015-2016年湖北武汉华中师大一附高二上期中文科数学卷(解析版) 题型:解答题

已知两条直线l1:ax-by+4=0,l2:(a-1)x+y+b=0,直线l1过点,并且直线l1与直线l2垂直.求满足条件的a,b的值.

查看答案和解析>>

科目:高中数学 来源:2015-2016学年湖北武汉华中师大一附高一上期中数学试卷(解析版) 题型:选择题

已知函数是定义在上的奇函数, 在区间单调递增且.若实数满足, 则实数的取值范围是( )

A. B. C. D.

查看答案和解析>>

科目:高中数学 来源:2016届江苏省高三上学期周练数学试卷(解析版) 题型:解答题

在正四面体中,点上,点上,且

证明:(1)平面

(2)直线直线

查看答案和解析>>

科目:高中数学 来源:2016届湖南省株洲市高三上学期期中文科数学试卷(解析版) 题型:选择题

若曲线在点处的切线平行于直线,则点的一个坐标是

A. B. C. D.

查看答案和解析>>

科目:高中数学 来源:2016届湖北武汉华中师大一附等高三上第一次联考文数学卷(解析版) 题型:解答题

小明同学制作了一个简易的网球发射器,可用于帮忙练习定点接发球,如图1所示,网球场前半区、后半区总长为23.77米,球网的中间部分高度为0.914米,发射器固定安装在后半区离球网底部8米处中轴线上,发射方向与球网底部所在直线垂直.为计算方便,球场长度和球网中间高度分别按24米和1米计算,发射器和网球大小均忽略不计.如图2所示,以发射器所在位置为坐标原点建立平面直角坐标系轴在地平面上的球场中轴线上,轴垂直于地平面,单位长度为1米.已知若不考虑球网的影响,网球发射后的轨迹在方程表示的曲线上,其中与发射方向有关.发射器的射程是指网球落地点的横坐标.

(1)求发射器的最大射程;

(2)请计算在什么范围内,发射器能将球发过网(即网球飞行到球网正上空时,网球离地距离大于1米)?若发射器将网球发过球网后,在网球着地前,小明要想在前半区中轴线的正上空选择一个离地面2.55米处的击球点正好击中网球,试问击球点的横坐标最大为多少?并请说明理由.

查看答案和解析>>

科目:高中数学 来源:2016届湖北武汉华中师大一附等高三上第一次联考理数学卷(解析版) 题型:解答题

如图,中,三个内角成等差数列,且

(1)求的面积;

(2)已知平面直角坐标系,点,若函数的图象经过三点,且的图象与轴相邻的两个交点,求的解析式.

查看答案和解析>>

科目:高中数学 来源:2015-2016学年山西省太原市高二12月月考数学试卷(解析版) 题型:选择题

已知椭圆的离心率,则的值为( )

A. B. C. D.

查看答案和解析>>

科目:高中数学 来源:2016届湖南师范大学附中高三上学期月考三文科数学试卷(解析版) 题型:选择题

定义在上的可导函数,当时,恒成立,,则的大小关系为( )

A. B. C. D.

查看答案和解析>>

同步练习册答案