精英家教网 > 高中数学 > 题目详情

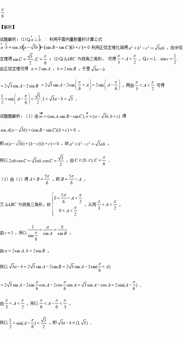
中,角所对的边分别为

(1)求角的值;

(2)若为锐角三角形,且,求的取值范围.

练习册系列答案
相关习题

科目:高中数学 来源:2015-2016学年辽宁省高二上10月月考理科数学试卷(解析版) 题型:选择题

(2012•许昌县一模)先后拋掷两枚质地均匀的正方体骰子,它们的六个面分别标有点数1,2,3,4,5,6,设骰子朝上的面的点数分别是x,y则log(2x)y=1的概率是( )

A. B. C. D.

查看答案和解析>>

科目:高中数学 来源:2015-2016学年福建省龙海市高二上学期期中文科数学试卷(解析版) 题型:解答题

已知在平面直角坐标系中的一个椭圆,它的中心在原点,左焦点为,右顶点为,设点

(1)求该椭圆的标准方程;

(2)若是椭圆上的动点,求线段中点的轨迹方程;

查看答案和解析>>

科目:高中数学 来源:2015-2016学年内蒙古赤峰市高一9月月考数学试卷(解析版) 题型:解答题

如图,已知底角为的等腰梯形,底边长为7,腰长为,当一条垂直于底边垂足为的直线从左至右向移动(与梯形有公共点)时,直线把梯形分成两部分,令,记左边部分的面积为

(1)试求1,3时的值;

(2)写出关于的函数关系式.

查看答案和解析>>

科目:高中数学 来源:2015-2016学年福建省宁德市高一上学期期中考试数学试卷(解析版) 题型:填空题

集合的子集个数为

查看答案和解析>>

科目:高中数学 来源:2015-2016学年江西省高一上第二次段考数学试卷(解析版) 题型:解答题

已知函数在区间上有最大值4和最小值1,设

.

(I)求的值;

(II)若不等式上有解,求实数的取值范围.

查看答案和解析>>

科目:高中数学 来源:2015-2016学年江西省高一上第二次段考数学试卷(解析版) 题型:填空题

已知集合,若,则实数的取值范围是,其中

查看答案和解析>>

科目:高中数学 来源:2016届江苏省高三12月月考数学试卷(解析版) 题型:解答题

已知数列为等差数列,的前和为,数列为等

比数列,且对任意的恒成立.

(Ⅰ)求数列的通项公式;

(Ⅱ)是否存在非零整数,使不等式对一切都成立?若存在,求出的值;若不存在,说明理由.

(Ⅲ)各项均为正整数的无穷等差数列,满足,且存在正整数k,使成等比数列,若数列的公差为d,求d的所有可能取值之和.

查看答案和解析>>

科目:高中数学 来源:2016届安徽省高三上第五次月考理科数学试卷(解析版) 题型:解答题

在平面直角坐标系中,已知点,点,点

(1)求经过A,B,C三点的圆P的方程;

(2)过直线上一点Q,作圆P的两条切线,切点分别为A,B,求证:直线AB恒过定点,并求出定点坐标.

查看答案和解析>>

同步练习册答案