精英家教网 > 高中数学 > 题目详情
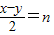
函数f(x)满足f(-1)=.对于x,y∈R,有,则f(-2012)等于( )
A.
B.
C.
D.
【答案】分析:利用赋值法,确定f(0),f(1)的值,确定函数是以4为周期的周期函数,即可求得结论.
解答:解:令y=x,则4f(x)f(0)=2f(x),∴f(0)=
令y=-x,则4f(0)f(x)=f(x)+f(-x),∴f(-x)=f(x),∴f(1)=
,则4f(m)f(n)=f(m+n)+f(m-n)
令n=-1,则4f(m)f(-1)=f(m-1)+f(m+1),∴f(m+1)=f(m)-f(m-1)
∴f(2)=f(1)-f(0)==-,f(3)=f(2)-f(1)=--=-,f(4)=f(3)-f(2)=-
f(5)=f(4)-f(3)=,…
即函数是以4为周期的周期函数
∴f(-2012)=f(2012)=f(4×503)=-
故选A.
点评:本题考查函数的周期性,考查学生分析解决问题的能力,属于中档题.
练习册系列答案
相关习题

科目:高中数学 来源: 题型:

(2013•菏泽二模)已知定义在R上的奇函数f(x)满足f(x+2e)=-f(x)(其中e=2.7182…),且在区间[e,2e]上是减函数.令a=
ln2
2
ln3
3
,c=
ln5
5
,则(  )

查看答案和解析>>

科目:高中数学 来源:2012-2013学年湖北省荆州中学高三(上)第一次质量检测数学试卷 (理科)(解析版) 题型:选择题

已知定义域为R的函数f(x)满足f(-x)=-f(x+4),则x>2时,f(x)单调递增,若x1+x2<4,且(x1-2)(x2-2)<0,则f(x1)+f(x2)与0的大小关系是( )
A.f(x1)+f(x2)>0
B.f(x1)+f(x2)=0
C.f(x1)+f(x2)<0
D.f(x1)+f(x2)≤0

查看答案和解析>>

科目:高中数学 来源:2011-2012学年湖南省湘西州边城高级中学高三(上)月考数学试卷(解析版) 题型:选择题

已知定义域为R的函数f(x)满足f(-x)=-f(x+4),则x>2时,f(x)单调递增,若x1+x2<4,且(x1-2)(x2-2)<0,则f(x1)+f(x2)与0的大小关系是( )
A.f(x1)+f(x2)>0
B.f(x1)+f(x2)=0
C.f(x1)+f(x2)<0
D.f(x1)+f(x2)≤0

查看答案和解析>>

科目:高中数学 来源:2010-2011学年湖南省湘西州古丈县补习学校高三(上)第一次月考数学试卷(理科)(解析版) 题型:选择题

已知定义域为R的函数f(x)满足f(-x)=-f(x+4),则x>2时,f(x)单调递增,若x1+x2<4,且(x1-2)(x2-2)<0,则f(x1)+f(x2)与0的大小关系是( )
A.f(x1)+f(x2)>0
B.f(x1)+f(x2)=0
C.f(x1)+f(x2)<0
D.f(x1)+f(x2)≤0

查看答案和解析>>

科目:高中数学 来源:2013年山东省菏泽市高考数学二模试卷(文科)(解析版) 题型:选择题

已知定义在R上的奇函数f(x)满足f(x+2e)=-f(x)(其中e=2.7182…),且在区间[e,2e]上是减函数.令a=,c=,则( )
A.f(a)<f(b)<f(c)
B.f(b)<f(c)<f(a)
C.f(c)<f(a)<f(b)
D.f(c)<f(b)<f(a)

查看答案和解析>>

同步练习册答案