精英家教网 > 高中数学 > 题目详情
设椭圆(a>b>0)的焦点分别为F1(-1,0),F2(1,0),直线l:x=a2交x轴于点A,且
(Ⅰ)试求椭圆的方程;
(Ⅱ)过F1,F2分别作互相垂直的两直线与椭圆分别交于D,E,M,N四点(如图所示),若四边形DMEN的面积为,求DE的直线方程。
解:(Ⅰ)由题意,=2c=2,∴A(a2,0),

∴F2为AF1的中点,
∴a2=3,b2=2,
即椭圆方程为
(Ⅱ)当直线DE与x轴垂直时,,此时
四边形DMEN的面积不符合题意,故舍掉;
同理当MN与x轴垂直时,也有四边形DMEN的面积不符合题意,故舍掉;
当直线DE,MN均与x轴不垂直时,
设DE:y=k(x+1),
代入消去y得(2+3k2)x2+6k2x+(3k2-6)=0,
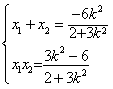
设 D(x1,y1),E(x2,y2),

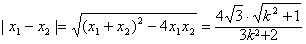
所以
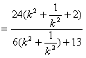
所以
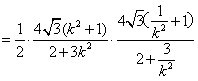
同理
所以四边形的面积


所以直线lDE或lDE或lDE
或lDE
练习册系列答案
相关习题

科目:高中数学 来源: 题型:

在直角坐标系xOy中,设椭圆C:(ab>0)的左、右两个焦点分别为F1F2.过右焦点F2且与x轴垂直的直线l与椭圆C相交,其中一个交点为M(,1).

(1)求椭圆C的方程;

(2)设椭圆C的一个顶点为B(0,-b),直线BF2交椭圆C于另一点N,求△F1BN的面积.

查看答案和解析>>

科目:高中数学 来源:2013-2014学年人教版高考数学文科二轮专题复习提分训练22练习卷(解析版) 题型:解答题

设椭圆+=1(a>b>0)的左,右焦点分别为F1,F2,P(a,b)满足|PF2|=|F1F2|.

(1)求椭圆的离心率e;

(2)设直线PF2与椭圆相交于A,B两点.若直线PF2与圆(x+1)2+(y-)2=16相交于M,N两点,|MN|=|AB|,求椭圆的方程.

 

查看答案和解析>>

科目:高中数学 来源:2013-2014学年人教版高考数学文科二轮专题复习提分训练22练习卷(解析版) 题型:解答题

设椭圆+=1(a>b>0)的左焦点为F,离心率为,过点F且与x轴垂直的直线被椭圆截得的线段长为.

(1)求椭圆的方程;

(2)A,B分别为椭圆的左、右顶点,过点F且斜率为k的直线与椭圆交于C,D两点.·+·=8,k的值.

 

查看答案和解析>>

科目:高中数学 来源:2011-2012学年四川省高三高考极限压轴文科数学试卷(解析版) 题型:解答题

设椭圆C:(“a>b〉0)的左焦点为,椭圆过点P()

(1)求椭圆C的方程;

(2)已知点D(1, 0),直线l:与椭圆C交于A、B两点,以DA和DB为邻边的四边形是菱形,求k的取值范围.

 

查看答案和解析>>

科目:高中数学 来源:2012届湖北省黄石市高二数学上学期期末考试 题型:解答题

设椭圆+=1(a>b>0)的左焦点为F1(-2,0),左准线l1与x轴交于点N(-3,0),过点N且倾斜角为30°的直线l交椭圆于A、B两点.

(1)求直线l和椭圆的方程;

(2)求证:点F1(-2,0)在以线段AB为直径的圆上.

 

查看答案和解析>>

同步练习册答案