精英家教网 > 高中数学 > 题目详情
已知各项都不相等的等差数列{an}的前六项和为60,且a6为a1和a21的等比中项,
(1)求数列{an}的通项公式an及前n项和Sn
(2)若数列{bn}满足bn+1-bn=an(n∈N*),且b1=3,求数列的前n项和Tn
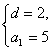
解:(1)设等差数列{an}的公差为d,
,解得

(2)由

当n≥2时,


对b1=3也适合,

练习册系列答案
相关习题

科目:高中数学 来源: 题型:

已知各项都不相等的等差数列{an}的前6项和为60,且a6为a1和a21的等比中项,求数列{an}的通项an及前n项和Sn

查看答案和解析>>

科目:高中数学 来源: 题型:

已知各项都不相等的等差数列{an}的前六项和为60,且a6为a1和a21的等比中项.
(1)求数列{an}的通项公式
(2)若数列{bn}满足bn+1-bn=an(n∈N*),且b1=3,求数列{
1bn
}
的前n项Tn

查看答案和解析>>

科目:高中数学 来源: 题型:

已知各项都不相等的等数列{an}的前六项和为60,且a6为a1与a21的等比中项.
(1)求数列{an}的通项公式及an及前n项和Sn
(2)若数列{bn}满足bn+1-bn=an(n∈N*),且b1=3,求数列{
1bn
}
的前n项和Tn

查看答案和解析>>

科目:高中数学 来源: 题型:

已知各项都不相等的等差数列{an}的前6项和为60,且A6为a1和a21的等比中项.
(1)求数列{an}的通项公式an及前n项和Sn
(2)若数列{bn}满足bn+1-bn=an(n∈N*),且b1=3,求数列{
1bn-n
}的前n项和Tn

查看答案和解析>>

科目:高中数学 来源: 题型:

已知各项都不相等的等差数列{an}的前六项和为60,且a6为a1和a21的等比中项.
(I)求数列{an}的通项公式an
(II)若数列{bn}满足bn+1-bn=an(n∈N*),且b1=3,求数列{bn}的通项公式bn
(III)求数列{
1bn-n
}的前n项和Tn

查看答案和解析>>

同步练习册答案