精英家教网 > 高中数学 > 题目详情

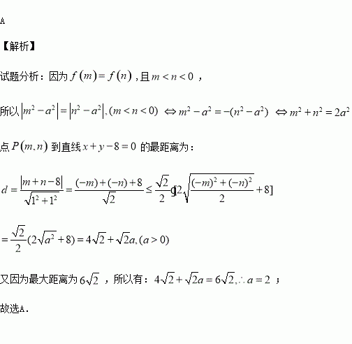
函数),,且,若点到直线的最大距离为时,则的值为( )

A. B. C. D.

练习册系列答案
相关习题

科目:高中数学 来源:2015-2016学年辽宁省大连市高二上期中文科数学试卷(解析版) 题型:选择题

若椭圆的离心率为,则=

(A) (B) (C) (D)

查看答案和解析>>

科目:高中数学 来源:2015-2016学年河北省邢台市高二上第一次月考数学试卷(解析版) 题型:解答题

如图所示,PA⊥矩形ABCD所在平面,M、N分别是AB、PC的中点.

(1)求证:MN∥平面PAD.

(2)求证:MN⊥CD.

查看答案和解析>>

科目:高中数学 来源:2016届重庆市高三上学期第三次月考文科数学试卷(解析版) 题型:选择题

已知数列中,,则的前100项和为( )

A.1250 B.1276 C.1289 D.1300

查看答案和解析>>

科目:高中数学 来源:2016届重庆市高三上学期第三次月考理科数学试卷(解析版) 题型:选择题

时,执行如图所示的程序框图,输出的值为( )

A.7 B.42 C.210 D.840

查看答案和解析>>

科目:高中数学 来源:2016届云南省玉溪市高三上学期期中理科数学试卷(解析版) 题型:填空题

数列的通项,其前项和为,则

查看答案和解析>>

科目:高中数学 来源:2016届辽宁省葫芦岛市高三上学期期中文科数学试卷(解析版) 题型:选择题

我们知道,在边长为的正三角形内任一点到三边的距离之和为定值,类比上述结论,在棱长为的正四面体内任一点到其四个面的距离之和为定值,此定值为

A. B. C. D.

查看答案和解析>>

科目:高中数学 来源:2016届黑龙江省牡丹江市高三上学期期中文科数学试卷(解析版) 题型:选择题

已知定义在实数集R的函数满足,且导函数,则不等式的解集为( )

A. B. C. D.

查看答案和解析>>

科目:高中数学 来源:2016届江西省南昌市高三上第四次考试理科数学试卷(解析版) 题型:选择题

是任意实数,且,则下列不等式成立的是( )

A. B. C. D.

查看答案和解析>>

同步练习册答案