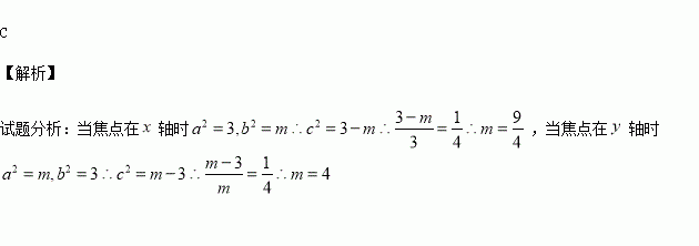
精英家教网 > 高中数学 > 题目详情

若椭圆的离心率为,则=

(A) (B) (C) (D)

练习册系列答案
相关习题

科目:高中数学 来源:2015-2016学年江苏省大丰市高二上学期期中考试数学试卷(解析版) 题型:解答题

已知双曲线C的方程为:

(1)求双曲线C的离心率;

(2)求与双曲线C有公共的渐近线,且经过点A()的双曲线的方程。

查看答案和解析>>

科目:高中数学 来源:2015-2016学年福建省高二上学期期中考试文科数学试卷(解析版) 题型:选择题

已知等差数列与等比数列,满足的前5项和( )

A.5 B.10 C.20 D.40

查看答案和解析>>

科目:高中数学 来源:2015-2016学年重庆市高二上第一次月考理科数学试卷(解析版) 题型:选择题

已知以为周期的函数,其中.若方程恰有5个实数解,则的取值范围为( )

A. B.

C. D.

查看答案和解析>>

科目:高中数学 来源:2015-2016学年山东省临沂市高二上期中模拟理数学试卷(解析版) 题型:选择题

若等比数列{an}的前n项和Sn,且S10=18,S20=24,则S40等于 ( )

A. B. C. D.

查看答案和解析>>

科目:高中数学 来源:2015-2016学年辽宁省大连市高二上期中理科数学试卷(解析版) 题型:选择题

已知是双曲线的两焦点,以点为直角顶点作等腰直角三角形,若边的中点在双曲线上,则双曲线的离心率是

(A) (B)

(C) (D)

查看答案和解析>>

科目:高中数学 来源:2015-2016学年江西省等三校高二上第一次联考数学试卷(解析版) 题型:选择题

直线3x+4y-13=0与圆(x-2)2+(y-3)2=1的位置关系是( )

A.相离 B.相交 C.相切 D.无法判定

查看答案和解析>>

科目:高中数学 来源:2015-2016学年湖北省宜昌市高二上期中文科数学试卷(解析版) 题型:解答题

(本小题满分12分)某高级中学共有学生2 000名,各年级男、女生人数如下表:

高一年级

高二年级

高三年级

女生

373

X

Y

男生

377

370

Z

已知在全校学生中随机抽取1名,抽到高二年级女生的概率是0.19.

(1)求x的值;

(2)现用分层抽样的方法在全校抽取48名学生,问应在高三年级抽取多少名?

(3)已知y≥245,z≥245,求高三年级中女生比男生多的概率.

查看答案和解析>>

科目:高中数学 来源:2016届云南省玉溪市高三上学期期中文科数学试卷(解析版) 题型:选择题

函数),,且,若点到直线的最大距离为时,则的值为( )

A. B. C. D.

查看答案和解析>>

同步练习册答案