精英家教网 > 高中数学 > 题目详情

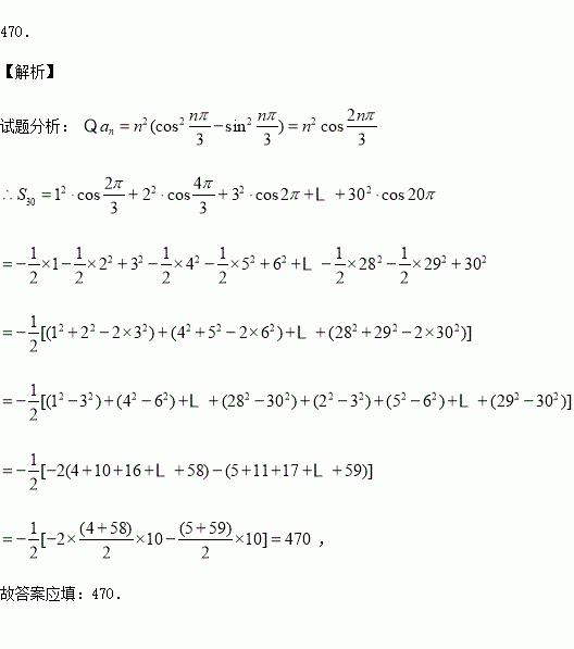
数列的通项,其前项和为,则

练习册系列答案
相关习题

科目:高中数学 来源:2015-2016学年辽宁省大连市高二上期中理科数学试卷(解析版) 题型:选择题

已知是双曲线的两焦点,以点为直角顶点作等腰直角三角形,若边的中点在双曲线上,则双曲线的离心率是

(A) (B)

(C) (D)

查看答案和解析>>

科目:高中数学 来源:2015-2016学年广东省普宁市高二上期中文科数学试卷(解析版) 题型:解答题

(本小题满分12分)

某人有3枚钥匙,其中只有一枚房门钥匙,但忘记了开房门的是哪一枚,于是,他逐枚不重复地试开,问:

(Ⅰ)恰好第三次打开房门锁的概率是多少?

(Ⅱ)两次内打开房门的概率是多少?

查看答案和解析>>

科目:高中数学 来源:2016届重庆市高三上学期第三次月考理科数学试卷(解析版) 题型:填空题

的展开式中常数项为

查看答案和解析>>

科目:高中数学 来源:2016届云南省玉溪市高三上学期期中文科数学试卷(解析版) 题型:选择题

函数),,且,若点到直线的最大距离为时,则的值为( )

A. B. C. D.

查看答案和解析>>

科目:高中数学 来源:2016届辽宁省葫芦岛市高三上学期期中文科数学试卷(解析版) 题型:填空题

设过曲线为自然对数的底数)上任意一点处的切线为,总存在过曲线上一点处的切线,使得,则实数的取值范围为

查看答案和解析>>

科目:高中数学 来源:2016届辽宁省葫芦岛市高三上学期期中理科数学试卷(解析版) 题型:选择题

已知函数的大致图象如图所示,则函数的解析式为( )

A.

B.

C.

D.

查看答案和解析>>

科目:高中数学 来源:2016届黑龙江省牡丹江市高三上学期期中理科数学试卷(解析版) 题型:选择题

已知都是定义在上的函数,,且),,若数列的前项和大于,则的最小值为( )

A. B. C. D.

查看答案和解析>>

科目:高中数学 来源:2016届湖南省长沙市高三月考三理科数学试卷(解析版) 题型:填空题

查看答案和解析>>

同步练习册答案