精英家教网 > 高中数学 > 题目详情

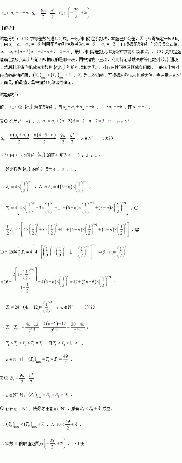
(本小题满分12分)

已知等差数列的公差为,前项和为,且

(1)求数列的通项公式与前项和

(2)将数列的前四项抽取其中一项后,剩下三项按原来顺序恰为等比数列的前三项,记数列的前项和为,若存在,使得对任意,总有成立,求实数的取值范围.

练习册系列答案
相关习题

科目:高中数学 来源:2016届河南省郑州市高三上学期联考理科数学试卷(解析版) 题型:选择题

设等差数列的前项和为,若,则( )

A.8 B.16 C.24 D.36

查看答案和解析>>

科目:高中数学 来源:2014-2015学年贵州省高二上学期半期考试理科数学试卷(解析版) 题型:解答题

为了了解小学生的体能情况,抽取了某小学同年级部分学生进行跳绳测试,将所得的数据整理后画出频率分布直方图(如下图),已知图中从左到右的前三个小组的频率分别是0.1,0.3,0.4.第一小组的频数是5.

(1)求第四小组的频率和参加这次测试的学生人数;

(2)在这次测试中,学生跳绳次数的中位数落在第几小组内?

(3)参加这次测试跳绳次数在100次以上为优秀,试估计该校此年级跳绳成绩的优秀率是多少?

查看答案和解析>>

科目:高中数学 来源:2016上海复旦大学附中届高三上期中理科数学试卷(解析版) 题型:选择题

设集合的两个非空子集,如果存在一个从的函数满足: 对任意时,恒有,那么称这两个集合“保序同构”.以下集合对不是“保序同构”的是( )

A、 B、

C、 D、

查看答案和解析>>

科目:高中数学 来源:2016届河北省高三上学期四调文科数学试卷(解析版) 题型:填空题

已知函数,则

查看答案和解析>>

科目:高中数学 来源:2015-2016学年吉林省高二11月月考文科数学卷(解析版) 题型:解答题

(本小题满分12分)

在等差数列中,公差的等比中项.

(Ⅰ)求数列的通项公式;

(Ⅱ)设,数列的前项和为,求.

查看答案和解析>>

科目:高中数学 来源:2015-2016学年吉林省高二11月月考理科数学卷(解析版) 题型:选择题

已知为椭圆的左右焦点,若为椭圆上一点,且的内切圆的周

长等于,则满足条件的点有( )

A.1个 B.2个 C.3个 D.4个

查看答案和解析>>

科目:高中数学 来源:2016届宁夏六盘山高中高三上学期第二次月考文科数学试卷(解析版) 题型:选择题

若实数满足不等式组,则的取值范围是( )

A、 B、 C、 D、

查看答案和解析>>

科目:高中数学 来源:2016届福建省高三上学期期中考理科数学试卷(解析版) 题型:选择题

由曲线与直线所围成的平面图形的面积为( )

A. B. C. D.

查看答案和解析>>

同步练习册答案