精英家教网 > 高中数学 > 题目详情

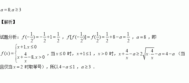
已知,若,则 ,若的值域为,则实数的取值范围是

练习册系列答案
相关习题

科目:高中数学 来源:2015-2016学年广东汕头市高一下学期期末数学试卷(解析版) 题型:选择题

已知平面向量满足:0,则的夹角为( )

A. B. C. D.

查看答案和解析>>

科目:高中数学 来源:2017届甘肃武威二中高三上学期月考二数学(文)试卷(解析版) 题型:解答题

已知函数上单调递减.

(1)若为假命题,求实数的取值范围;

(2)若为真命题,为假命题,求实数的取值范围.

查看答案和解析>>

科目:高中数学 来源:2017届甘肃武威二中高三上学期月考二数学(文)试卷(解析版) 题型:选择题

曲线在点处的切线方程为( )

A. B.

C. D.

查看答案和解析>>

科目:高中数学 来源:2016届浙江稽阳联谊学校高三4月联考数学(文)试卷(解析版) 题型:解答题

已知在中,三个内角所对的边分别为,函数

(1)求的最小正周期和最大值,并求出取得最大值时的取值集合;

(2)若,三角形的面积,且,求的值.

查看答案和解析>>

科目:高中数学 来源:2016届浙江稽阳联谊学校高三4月联考数学(文)试卷(解析版) 题型:选择题

已知数列,其中是首项为3,公差为整数的等差数列,且,则的前项和为( )

A. B.

C. D.

查看答案和解析>>

科目:高中数学 来源:2016届浙江稽阳联谊学校高三4月联考数学(理)试卷(解析版) 题型:解答题

已知椭圆的离心率为,且过点,直线交椭圆于不同的两点,设线段的中点为

(1)求椭圆的方程;

(2)当的面积为(其中为坐标原点)且时,试问:在坐标平面上是否存在两个定点,使得当直线运动时,为定值?若存在,求出点的坐标和定值;若不存在,请说明理由.

查看答案和解析>>

科目:高中数学 来源:2016届浙江稽阳联谊学校高三4月联考数学(理)试卷(解析版) 题型:选择题

下图是一个空间几何体的三视图,则该几何体的体积为( )

A.3 B. C.1 D.

查看答案和解析>>

科目:高中数学 来源:2017届山东省高三第一次诊断数学(理)试卷(解析版) 题型:解答题

在△中,分别是角的对边,,且

(1)求角

(2)求边长的最小值.

查看答案和解析>>

同步练习册答案