精英家教网 > 高中数学 > 题目详情

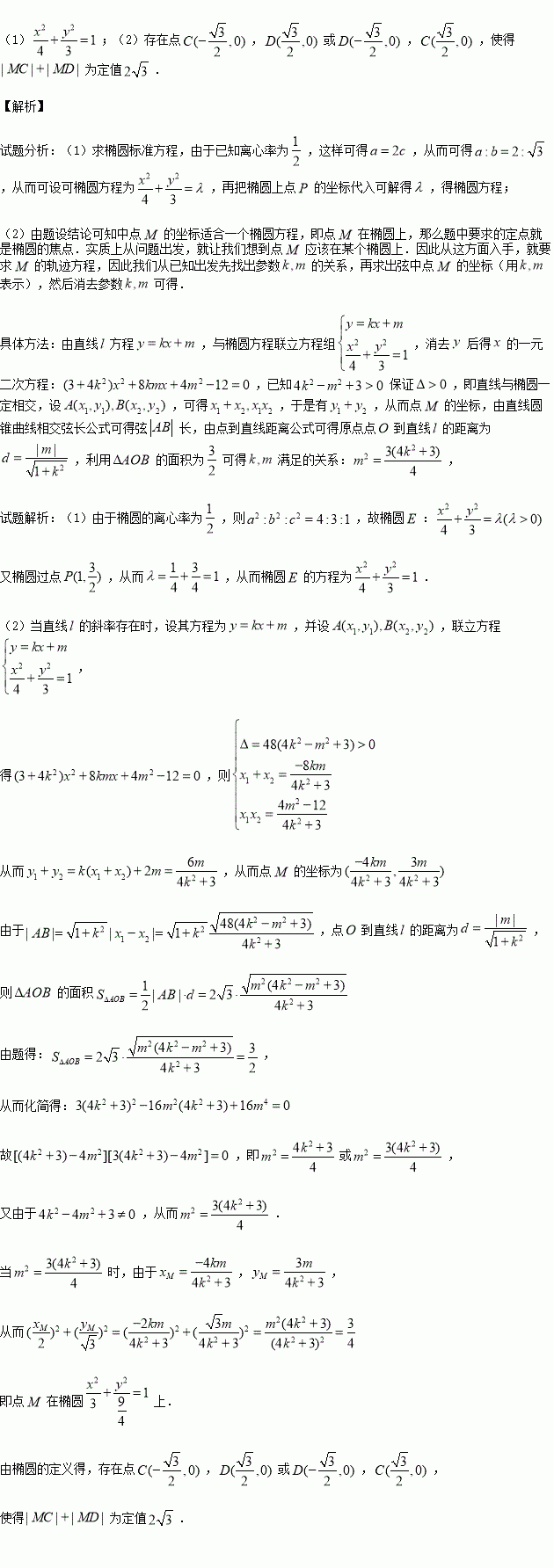
已知椭圆的离心率为,且过点,直线交椭圆于不同的两点,设线段的中点为

(1)求椭圆的方程;

(2)当的面积为(其中为坐标原点)且时,试问:在坐标平面上是否存在两个定点,使得当直线运动时,为定值?若存在,求出点的坐标和定值;若不存在,请说明理由.

练习册系列答案
相关习题

科目:高中数学 来源:2016届陕西黄陵中学高三下二模考试数学(理)试卷(解析版) 题型:解答题

已知抛物线的顶点在原点,焦点在轴正半轴上,抛物线上的点到其焦点的距离等于5.

(Ⅰ)求抛物线的方程;

(Ⅱ)若正方形的三个顶点在抛物线上,可设直线的斜率为,求正方形面积的最小值.

查看答案和解析>>

科目:高中数学 来源:2017届甘肃武威二中高三上学期月考二数学(文)试卷(解析版) 题型:选择题

已知函数的定义域为,且在上恒有,若,则不等式的解集为( )

A. B. C. D.

查看答案和解析>>

科目:高中数学 来源:2016届浙江稽阳联谊学校高三4月联考数学(文)试卷(解析版) 题型:填空题

已知,若,则 ,若的值域为,则实数的取值范围是

查看答案和解析>>

科目:高中数学 来源:2016届浙江稽阳联谊学校高三4月联考数学(文)试卷(解析版) 题型:选择题

某四棱锥的三视图如图所示(单位:),则该几何体的体积是( )

A. B. C. D.

查看答案和解析>>

科目:高中数学 来源:2016届浙江稽阳联谊学校高三4月联考数学(理)试卷(解析版) 题型:填空题

如图,已知抛物线的焦点为,直线且依次交抛物线及圆于点四点,则的最小值为

查看答案和解析>>

科目:高中数学 来源:2016届浙江稽阳联谊学校高三4月联考数学(理)试卷(解析版) 题型:选择题

已知关于的方程有实根且实根均在区间内,若,则实数的最小值为( )

A.1 B. C. D.

查看答案和解析>>

科目:高中数学 来源:2015-2016学年广东湛江一中高一下期末数学(理)试卷(解析版) 题型:选择题

一个扇形的弧长与面积都等于6,这个扇形中心角的弧度数是( )

A.1 B.2 C.3 D.4

查看答案和解析>>

科目:高中数学 来源:2017届山东省高三第一次诊断数学(理)试卷(解析版) 题型:选择题

高三学生体检,某班级随机抽取5名女学生的身高(厘米)和体重(公斤)的数据如下表:

165

160

175

155

170

58

52

62

43

60

根据上表可得回归直线方程为,则( )

A. B. C. D.

查看答案和解析>>

同步练习册答案