精英家教网 > 高中数学 > 题目详情

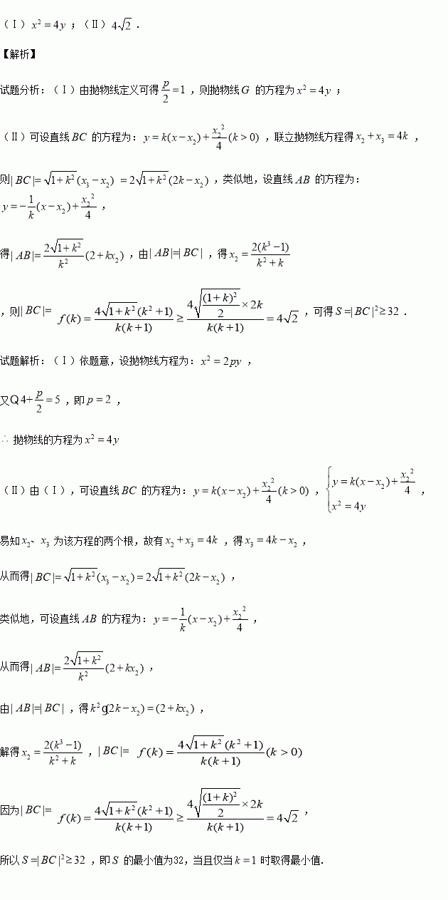
已知抛物线的顶点在原点,焦点在轴正半轴上,抛物线上的点到其焦点的距离等于5.

(Ⅰ)求抛物线的方程;

(Ⅱ)若正方形的三个顶点在抛物线上,可设直线的斜率为,求正方形面积的最小值.

练习册系列答案
相关习题

科目:高中数学 来源:2015-2016学年贵州黔南州高一下学期期末数学试卷(解析版) 题型:解答题

如图1,AB为圆O的直径,D为圆周上异于A,B的点,PB垂直于圆O所在的平面,BE⊥PA,BF⊥PD,垂足分别为E,F。已知AB=BP=2,直线PD与平面ABD所成角的正切值为

(I)求证:BF⊥平面PAD

(II)求三棱锥E-ABD的体积

(III)在图2中,作出平面BEF与平面ABD的交线,并求平面BEF与平面ABD所成锐二面角的大小、

查看答案和解析>>

科目:高中数学 来源:2015-2016学年广东汕头市高二下学期期末数学(文)试卷(解析版) 题型:选择题

双曲线的离心率为

A. B. C. D.

查看答案和解析>>

科目:高中数学 来源:2015-2016学年广东汕头市高一下学期期末数学试卷(解析版) 题型:选择题

已知平面向量满足:0,则的夹角为( )

A. B. C. D.

查看答案和解析>>

科目:高中数学 来源:2015-2016学年广东汕头市高一下学期期末数学试卷(解析版) 题型:选择题

=( )

A. B.- C. D.-

查看答案和解析>>

科目:高中数学 来源:2016届陕西黄陵中学高三下二模考试数学(理)试卷(解析版) 题型:填空题

如下图,是一个程序框图,则输出结果为__________.

查看答案和解析>>

科目:高中数学 来源:2016届陕西黄陵中学高三下二模考试数学(理)试卷(解析版) 题型:选择题

已知变量满足约束条件,目标函数的最大值为10,则实数的值等于( )

A.4 B. C.2 D.8

查看答案和解析>>

科目:高中数学 来源:2017届甘肃武威二中高三上学期月考二数学(文)试卷(解析版) 题型:解答题

已知函数上单调递减.

(1)若为假命题,求实数的取值范围;

(2)若为真命题,为假命题,求实数的取值范围.

查看答案和解析>>

科目:高中数学 来源:2016届浙江稽阳联谊学校高三4月联考数学(理)试卷(解析版) 题型:解答题

已知椭圆的离心率为,且过点,直线交椭圆于不同的两点,设线段的中点为

(1)求椭圆的方程;

(2)当的面积为(其中为坐标原点)且时,试问:在坐标平面上是否存在两个定点,使得当直线运动时,为定值?若存在,求出点的坐标和定值;若不存在,请说明理由.

查看答案和解析>>

同步练习册答案