精英家教网 > 高中数学 > 题目详情

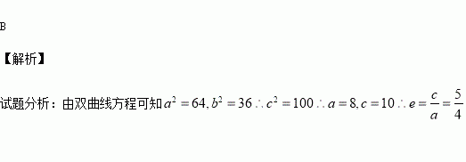
双曲线的离心率为

A. B. C. D.

练习册系列答案
相关习题

科目:高中数学 来源:2017届新疆生产建设兵团二中高三上月考一数学(文)试卷(解析版) 题型:选择题

已知是边长为1的等边三角形,点分别是边的中点,连接并延长到点,使得,则( )

A. B. C. D.

查看答案和解析>>

科目:高中数学 来源:2015-2016学年贵州黔南州高一下学期期末数学试卷(解析版) 题型:选择题

在△ABC中,AB=2,BC=1。5,∠ABC=120°,若使△ABC绕直线BC旋转一周,则所形成的几何体的体积是( )

A、 B、 C、 D、

查看答案和解析>>

科目:高中数学 来源:2015-2016学年广东汕头市高二下学期期末数学(文)试卷(解析版) 题型:填空题

已知正方体的棱长为4,点是线段的中点,则三棱锥外接球的体积为 .

查看答案和解析>>

科目:高中数学 来源:2015-2016学年广东汕头市高二下学期期末数学(文)试卷(解析版) 题型:选择题

将函数=sin()(<)的图象向左平移个单位后的图象关于原点对称,则函数的可能值为

A. B.- C. D.-

查看答案和解析>>

科目:高中数学 来源:2015-2016学年广东汕头市高一下学期期末数学试卷(解析版) 题型:解答题

已知是数列的前项和,且

(1)求的值;

(2)若,试证明数列为等比数列;

(3)求数列的通项公式,并证明:

查看答案和解析>>

科目:高中数学 来源:2015-2016学年广东汕头市高一下学期期末数学试卷(解析版) 题型:填空题

已知满足不等式,且函数的最大值为8,则常数

值为

查看答案和解析>>

科目:高中数学 来源:2016届陕西黄陵中学高三下二模考试数学(理)试卷(解析版) 题型:解答题

已知抛物线的顶点在原点,焦点在轴正半轴上,抛物线上的点到其焦点的距离等于5.

(Ⅰ)求抛物线的方程;

(Ⅱ)若正方形的三个顶点在抛物线上,可设直线的斜率为,求正方形面积的最小值.

查看答案和解析>>

科目:高中数学 来源:2017届甘肃武威二中高三上学期月考二数学(文)试卷(解析版) 题型:选择题

已知函数的定义域为,且在上恒有,若,则不等式的解集为( )

A. B. C. D.

查看答案和解析>>

同步练习册答案