精英家教网 > 高中数学 > 题目详情

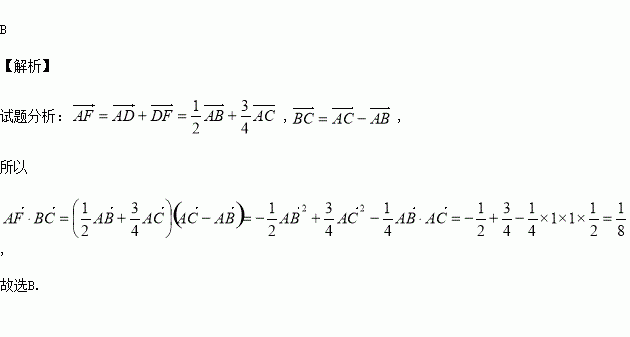
已知是边长为1的等边三角形,点分别是边的中点,连接并延长到点,使得,则( )

A. B. C. D.

练习册系列答案
相关习题

科目:高中数学 来源:2017届宁夏高三上学期月考一数学(理)试卷(解析版) 题型:选择题

设函数,将的图象向右平移个单位长度后,所得的图象与

原图象重合,则的最小值等于( )

A.5 B.6 C.7 D.8

查看答案和解析>>

科目:高中数学 来源:2017届四川绵阳中学高三上学期入学考试数学(理)试卷(解析版) 题型:选择题

如图,正方形折成直二面角,则二面角的余弦值是( )

A. B. C. D.

查看答案和解析>>

科目:高中数学 来源:2017届新疆生产建设兵团二中高三上月考一数学(文)试卷(解析版) 题型:解答题

已知函数的定义域为函数上是减函数,若“”为真,“”为假,试求实数的取值范围.

查看答案和解析>>

科目:高中数学 来源:2017届新疆生产建设兵团二中高三上月考一数学(文)试卷(解析版) 题型:选择题

已知定义在上的奇函数,满足且在区间上是增函数,若函数在区间上有四个不同的零点,则( )

A.4 B.8 C.-4 D.-8

查看答案和解析>>

科目:高中数学 来源:2017届新疆生产建设兵团二中高三上月考一数学(文)试卷(解析版) 题型:选择题

已知集合,则( )

A. B. C. D.

查看答案和解析>>

科目:高中数学 来源:2016-2017学年辽宁六校协作体高二期初考试数学试卷(解析版) 题型:填空题

中,内角所对的边分别为,已知的面积,则角的大小为_________

查看答案和解析>>

科目:高中数学 来源:2015-2016学年贵州黔南州高一下学期期末数学试卷(解析版) 题型:解答题

如图1,AB为圆O的直径,D为圆周上异于A,B的点,PB垂直于圆O所在的平面,BE⊥PA,BF⊥PD,垂足分别为E,F。已知AB=BP=2,直线PD与平面ABD所成角的正切值为

(I)求证:BF⊥平面PAD

(II)求三棱锥E-ABD的体积

(III)在图2中,作出平面BEF与平面ABD的交线,并求平面BEF与平面ABD所成锐二面角的大小、

查看答案和解析>>

科目:高中数学 来源:2015-2016学年广东汕头市高二下学期期末数学(文)试卷(解析版) 题型:选择题

双曲线的离心率为

A. B. C. D.

查看答案和解析>>

同步练习册答案