精英家教网 > 高中数学 > 题目详情
已知函数f(x)在其定义域上满足:xf(x)+2af(x)=x+a-1,a>0.
①函数y=f(x)的图象是否是中学对称图形?若是,请指出其对称中心(不证明);
②当f(x)时,求x的取值范围;
③若f(0)=0,数列{an}满足a1=1,那么若0<an+1≤f(an)正整数N满足n>N时,对所有适合上述条件的数列{an},恒成立,求最小的N.
【答案】分析:①化简函数y=f(x)的表达式,通过反比例函数判断函数的图象是对称图形,直接指出其对称中心;
②通过f(x),转化分式不等式与不等式组的形式,然后求x的取值范围;
③利用f(0)=0,推出a=1,求出函数的表达式,通过0<an+1≤f(an)构造,推出,结合恒成立,可求n的最小值,即可求最小的N.
解答:解:①∵xf(x)+2af(x)=x+a-1
∴(x+2a)f(x)=x+a-1.若x=-2a时,则a=-1,与a>0矛盾
∴x≠-2a,∴f(x)==1-(x≠-2a)
∴f(x)是中心对称图形,对称中心为(-2a,1)
②∵f(x)∈[],

又a>0,所以⇒2≤x≤3a+5
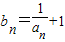
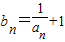
③∵f(0)=0,∴a=1,∴f(x)=
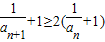
由0<an+1≤f(an)⇒,即,令
∴bn+1≤bn,又an>0,∴,又a1=1,∴b1=2
当n≥2,
(或
又∵b1=1也符合,,∴(n∈N*
,(n∈N*
要使an恒成立,只需即2n>11.
∴n>3.
所以N=3
点评:本题考查函数的性质的应用,函数的值域的应用,不等式组的解法,数列与函数的综合应用,考查分析问题解决问题的能力.
练习册系列答案
相关习题

科目:高中数学 来源: 题型:

已知函数f(x)在其定义域M内为减函数,且f(x)>0,证明g(x)=1+
2f(x)
在M内为增函数.

查看答案和解析>>

科目:高中数学 来源: 题型:

已知函数f(x)在其定义域上满足:xf(x)+2af(x)=x+a-1,a>0.
①函数y=f(x)的图象是否是中学对称图形?若是,请指出其对称中心(不证明);
②当f(x)∈[
1
2
4
5
]
时,求x的取值范围;
③若f(0)=0,数列{an}满足a1=1,那么若0<an+1≤f(an)正整数N满足n>N时,对所有适合上述条件的数列{an},an
1
10
恒成立,求最小的N.

查看答案和解析>>

科目:高中数学 来源: 题型:

已知函数f(x)在其定义域上满足xf(x)+2af(x)=x+a-1(a>0).
(1)函数y=f(x)的图象是否是中心对称图形?若是,请指出其对称中心(不证明);
(2)当f(x)∈[
1
2
4
5
]
时,求x的取值范围;
(3)若f(0)=0,数列{an}满足a1=1,那么:
①若0<an+1≤f(an),正整数N满足n>N时,对所有适合上述条件的数列{an},an
1
10
恒成立,求最小的N;
②若an+1=f(an),求证:a1a2+a2a3+a3a4+…+anan+1
3
7

查看答案和解析>>

科目:高中数学 来源: 题型:解答题

已知函数f(x)在其定义域M内为减函数,且f(x)>0,证明g(x)=1+数学公式在M内为增函数.

查看答案和解析>>

科目:高中数学 来源:2009-2010学年四川省南充一中高三(下)6月适应性考试数学试卷(理科)(解析版) 题型:解答题

已知函数f(x)在其定义域上满足xf(x)+2af(x)=x+a-1(a>0).
(1)函数y=f(x)的图象是否是中心对称图形?若是,请指出其对称中心(不证明);
(2)当时,求x的取值范围;
(3)若f(0)=0,数列{an}满足a1=1,那么:
①若0<an+1≤f(an),正整数N满足n>N时,对所有适合上述条件的数列{an},恒成立,求最小的N;
②若an+1=f(an),求证:

查看答案和解析>>

同步练习册答案