精英家教网 > 高中数学 > 题目详情

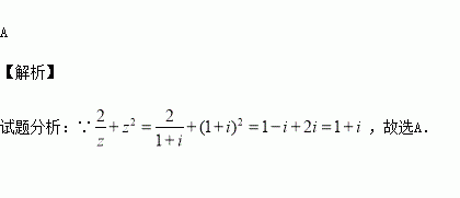
设复数是虚数单位),则=( )

(A) (B) (C) (D)

练习册系列答案
相关习题

科目:高中数学 来源:2014-2015学年吉林省高二下学期期末理科数学试卷(解析版) 题型:选择题

用红,黄两种颜色给如图所示的一列方格染色(可以只染一种颜色)要求相邻的两格不都染成红色,则不同的染色方法数为( )

A.7 B.28 C.34 D.42

查看答案和解析>>

科目:高中数学 来源:2016届宁夏银川市高三上学期统练二文科数学试卷(解析版) 题型:解答题

(本题满分10分).选修4-5:不等式选讲

已知a,b,c∈R+,求证:

(1)(ab+a+b+1)(ab+ac+bc+c2)≥16abc;

(2)

查看答案和解析>>

科目:高中数学 来源:2016届江西省高三上学期第一次考试理科数学试卷(解析版) 题型:选择题

已知函数的定义域为集合A,集合,则( )

A. B. C. D.

查看答案和解析>>

科目:高中数学 来源:2016届吉林省高三上学期第一次模拟理科数学试卷(解析版) 题型:解答题

(本小题满分12分)已知函数

(1)当时,求函数的单调增区间;

(2)若函数上的最小值为,求实数的值;

(3)若函数上恒成立,求实数的取值范围.

查看答案和解析>>

科目:高中数学 来源:2016届湖北省高三9月调考文科数学试卷(解析版) 题型:选择题

以下有关命题的说法错误的是 ( )

A.命题“若,则”的逆否命题为“若

B.“”是“”的充分不必要条件

C.若为假命题,则均为假命题

D.对于命题

查看答案和解析>>

科目:高中数学 来源:2016届湖北省等高三9月联考理科数学试卷(解析版) 题型:解答题

(本小题满分12分)已知函数,其中是自然对数的底数.

(Ⅰ),使得不等式成立,试求实数的取值范围;

(Ⅱ)若,求证:

查看答案和解析>>

科目:高中数学 来源:2016届河北省高三上第二次月考文科数学试卷B(解析版) 题型:解答题

(本小题满分10分)已知,且

(1)求的值;

(2)若,求的值.

查看答案和解析>>

科目:高中数学 来源:2013-2014学年辽宁省高考前最后模拟理科数学试卷(解析版) 题型:选择题

的展开式中,的系数等于,则等于( )

A. B. C. D.

查看答案和解析>>

同步练习册答案