精英家教网 > 高中数学 > 题目详情

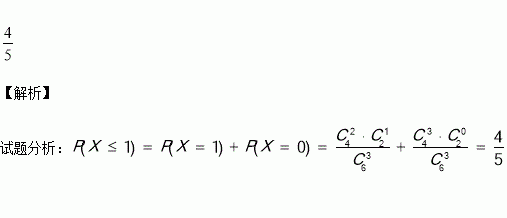
从4名男生和2名女生中任选3人参加演讲比赛,设随机变量X表示所选3人中女生的人数,则P(X≤1)等于

练习册系列答案
相关习题

科目:高中数学 来源:2015-2016学年黑龙江肇东一中高一下学期期末考试数学(文)试卷(解析版) 题型:选择题

若直线y=x+b与曲线y=3-有公共点,则b的取值范围是( )

A.[1-2,1+2] B.[1-,3]

C.[-1,1+2] D.[1-2,3]

查看答案和解析>>

科目:高中数学 来源:2016-2017学年安徽黄山屯溪一中高二上学期摸底数学试卷(解析版) 题型:填空题

已知函数,下列五个结论:

①当时,函数没有零点;

②当时,函数有两个零点;

③当时,函数有四个零点;

④当时,函数有三个零点;

⑤当时,函数有两个零点.

其中正确的结论的序号是 .(填上所有正确结论的序号)

查看答案和解析>>

科目:高中数学 来源:2015-2016学年江苏清江中学高二下期中数学(理)试卷(解析版) 题型:解答题

(1)现有5名男生和3名女生.若从中选5人,且要求女生只有2名,站成一排,共有多少种不同的排法?

(2)从{﹣3,﹣2,﹣1,0,1,2,3,4}中任选三个不同元素作为二次函数y=ax2+bx+c的系数,问能组成多少条经过原点且顶点在第一象限或第三象限的抛物线?

(3)已知(+2x)n,若展开式中第5项、第6项与第7项的二项式系数成等差数列,求展开式中二项式系数最大项的系数.

查看答案和解析>>

科目:高中数学 来源:2015-2016学年江苏清江中学高二下期中数学(理)试卷(解析版) 题型:填空题

用5种不同的颜色给图中所给出的四个区域涂色,每个区域涂一种颜色,若要求相邻(有公共边)的区域不同色,那么共有 种不同的涂色方法.

查看答案和解析>>

科目:高中数学 来源:2015-2016学年江苏清江中学高二下期中数学(理)试卷(解析版) 题型:填空题

复数(i是虚数单位)的虚部是

查看答案和解析>>

科目:高中数学 来源:2016-2017学年黑龙江大庆一中高二上开学考数学试卷(解析版) 题型:填空题

已知数列中,,且在直线上,若函数,则函数的最小值是________.

查看答案和解析>>

科目:高中数学 来源:2017届河南安阳市高三9月调研测试数学(文)试卷(解析版) 题型:解答题

已知椭圆的左、右焦点分别为,点,且,椭圆的离心率为

(1)求椭圆的标准方程;

(2)过点作直线与椭圆交于两点,若,求直线的方程.

查看答案和解析>>

科目:高中数学 来源:2016届山西右玉一中高三冲刺压轴卷四数学(文)试卷(解析版) 题型:解答题

选修4-1:几何证明选讲

如图,于点,直线两点,,垂足为

(1)证明:

(2)若,求

查看答案和解析>>

同步练习册答案