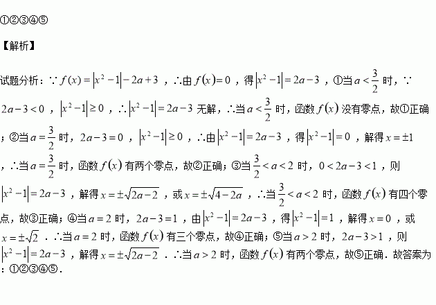
已知函数
,下列五个结论:
①当
时,函数
没有零点;
②当
时,函数
有两个零点;
③当
时,函数
有四个零点;
④当
时,函数
有三个零点;
⑤当
时,函数
有两个零点.
其中正确的结论的序号是 .(填上所有正确结论的序号)
科目:高中数学 来源:2015-2016学年辽宁大连市高一下期末数学试卷(解析版) 题型:解答题
已知向量
,记函数
.求:
(I)函数
的最小值及取得最小值时
的集合;
(II)函数
的单调递增区间.
查看答案和解析>>
科目:高中数学 来源:2015-2016学年广东茂名十七中高二下学期期末数学(文)试卷(解析版) 题型:解答题
已知函数![]()
(1)若
,求函数
的表达式;
(2)在(1)的条件下,设函数
,若
上是单调函数,求实数
的取值范围;
(3)是否存在
使得函数
在
上的最大值是4?若存在,求出
的值;若不存在,请说明理由。
查看答案和解析>>
科目:高中数学 来源:2015-2016学年广东茂名十七中高二下学期期末数学(文)试卷(解析版) 题型:选择题
函数
是( )
A. 偶函数,在(0,+∞)是增函数
B. 奇函数,在(0,+∞)是增函数
C. 偶函数,在(0,+∞)是减函数
D. 奇函数,在(0,+∞)是减函数
查看答案和解析>>
科目:高中数学 来源:2016-2017学年安徽黄山屯溪一中高二上学期摸底数学试卷(解析版) 题型:解答题
有一座大桥既是交通拥挤地段,又是事故多发地段,为了保证安全,交通部门规定:大桥上的车距
与车速
(
)和车身长
的关系满足:
(
为正的常数),假定大桥上的车的车身长都为
,当车速为
时,车距为
个车身长.
(1)写出车距
关于车速
的函数关系式;
(2)应规定怎样的车速,才能使大桥上每小时通过的车辆最多?
查看答案和解析>>
科目:高中数学 来源:2016-2017学年安徽黄山屯溪一中高二上学期摸底数学试卷(解析版) 题型:选择题
下列判断:
(1)从个体编号为
,
,…,
的总体中抽取一个容量为
的样本,若采用系统抽样方法进行抽取,则分段间隔应为
;
(2)已知某种彩票的中奖概率为
,那么买
张这种彩票就一定会中奖(假设该彩票有足够的张数);
(3)从装有
个红球和
个黒球的口袋内任取
个球,恰有
个黒球与恰有
个黒球是互斥但不对立的两个事件;
(4)设具有线性相关关系的变量的一组数据是(
,
),(
,
),(
,
),(
,
),则它们的回归直线一定过点(
,
).
其中正确的序号是( )
A.(
)、(
)、(
) B.(
)、(
)、(
)
C.(
)、(
) D.(
)、(
)
查看答案和解析>>
科目:高中数学 来源:2016-2017学年安徽黄山屯溪一中高二上学期摸底数学试卷(解析版) 题型:选择题
下列命题中,正确的是( )
A.若
,
,则![]()
B.若
,则![]()
C.若
,
,则![]()
D.若
, 则![]()
查看答案和解析>>
科目:高中数学 来源:2015-2016学年江苏清江中学高二下期中数学(理)试卷(解析版) 题型:填空题
从4名男生和2名女生中任选3人参加演讲比赛,设随机变量X表示所选3人中女生的人数,则P(X≤1)等于 .
查看答案和解析>>
科目:高中数学 来源:2017届河南安阳市高三9月调研测试数学(文)试卷(解析版) 题型:选择题
如图,一个几何体的三视图分别为两个等腰直角三角形和一个边长为2的正方形及其一条对角线,则该几何体的侧面积为( )
![]()
A.
B.
C.
D.![]()
查看答案和解析>>
湖北省互联网违法和不良信息举报平台 | 网上有害信息举报专区 | 电信诈骗举报专区 | 涉历史虚无主义有害信息举报专区 | 涉企侵权举报专区
违法和不良信息举报电话:027-86699610 举报邮箱:58377363@163.com