精英家教网 > 高中数学 > 题目详情

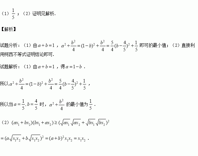
选修4-5:不等式选讲

已知均为正实数,且.

(1)求的最小值;

(2)求证:.

练习册系列答案
相关习题

科目:高中数学 来源:2015-2016学年湖北沙市高一下第五次半月考数学试卷(解析版) 题型:解答题

已知函数,满足是偶函数.

(1)求函数的解析式;

(2)设,若对任意的,不等式恒成立,求实数的取值范围.

查看答案和解析>>

科目:高中数学 来源:2016届山东省高三第六次月考文科数学试卷(解析版) 题型:选择题

为了得到函数的图象,可以将函数的图象( )

A.向右平移 B.向右平移

C.向左平移 D.向左平移

查看答案和解析>>

科目:高中数学 来源:2016届河南省高三考前冲刺三文科数学试卷(解析版) 题型:选择题

已知函数是定义域为R的偶函数,当时,若关于x的方程有且仅有6个不同实数根,则实数a的取值范围是( )

A. B.

C. D.

查看答案和解析>>

科目:高中数学 来源:2016届河南省高三考前冲刺三文科数学试卷(解析版) 题型:选择题

已知x,y满足不等式组则目标函数z=3x+y的最大值为( )

A.12 B.24 C.8 D.

查看答案和解析>>

科目:高中数学 来源:2016届河南省高三考前冲刺二文科数学试卷(解析版) 题型:解答题

如图所示,在三棱柱中,平面ABC,AB⊥AC.

(1)求证:

(2)若P是棱的中点,求平面PAB将三棱柱分成的两部分体积之比.

查看答案和解析>>

科目:高中数学 来源:2016届河南省高三考前冲刺二文科数学试卷(解析版) 题型:选择题

设F是双曲线的右焦点,P是双曲线上的点,若它的渐近线上存在一

点Q(在第一象限内),使得,则双曲线的离心率的取值范围是( )

A. B. C. D.

查看答案和解析>>

科目:高中数学 来源:2017届河北省高三上周练一数学试卷(解析版) 题型:解答题

已知向量

(1)求的夹角;

(2)若,求实数的值.

查看答案和解析>>

科目:高中数学 来源:2016届河北省高三下练习五文科数学试卷(解析版) 题型:解答题

选修4-5:不等式选讲

设函数.(Ⅰ)求证:恒成立;(Ⅱ)求使得不等式成立的实数的取值范围.

查看答案和解析>>

同步练习册答案