精英家教网 > 高中数学 > 题目详情

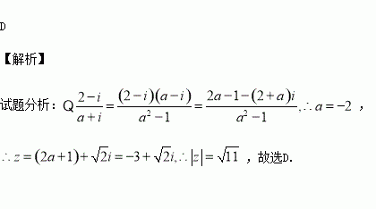
已知为虚数单位,,若为纯虚数,则复数的模等于( )

A. B. C. D.

练习册系列答案
相关习题

科目:高中数学 来源:2016届海南省高三高考模拟三文科数学试卷(解析版) 题型:选择题

阅读如图所示程序框图,运行相应的程序,若输入的值为-5,则输出的值是( )

A.-1 B.1 C.2 D.

查看答案和解析>>

科目:高中数学 来源:2015-2016学年重庆八中高一下期中数学试卷(解析版) 题型:选择题

中,内角对的边分别为.若,则的取值范围为( )

A. B. C. D.

查看答案和解析>>

科目:高中数学 来源:2016届山东省高三最后一模文科数学试卷(解析版) 题型:填空题

四边形中,,则的最小值为

查看答案和解析>>

科目:高中数学 来源:2016届山东省高三最后一模文科数学试卷(解析版) 题型:选择题

函数的图象大致为( )

查看答案和解析>>

科目:高中数学 来源:2016届山东省高三最后一模理科数学试卷(解析版) 题型:解答题

用部分自然数构造如图的数表:用表示第行第个数(),使得每行中的其他各数分别等于其“肩膀”上的两个数之和,.设第)行的第二个数为

(1)写出第7行的第三个数;

(2)写出的关系并求

(3)设证明: .

查看答案和解析>>

科目:高中数学 来源:2016届山东省高三最后一模理科数学试卷(解析版) 题型:填空题

已知之间具有很强的线性相关关系,现观测得到的四组观测值并制作了相应的对照表,由表中数据粗略地得到线性回归直线方程为,其中的值没有写上.当等于时,预测的值为

查看答案和解析>>

科目:高中数学 来源:2015-2016学年江西玉山一中高一下第三次考试文科数学卷(解析版) 题型:填空题

已知函数,数列的通项由确定,____________

查看答案和解析>>

科目:高中数学 来源:205-2016学年吉林省高二下期中理科数学试卷(解析版) 题型:解答题

在棱长为的正方体中,分别为的中点.

(1)求

(2)求直线所成角的余弦值;

(3)求二面角的余弦值.

查看答案和解析>>

同步练习册答案