精英家教网 > 高中数学 > 题目详情

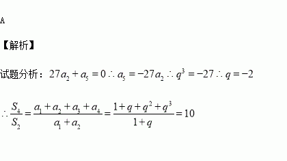
为等比数列{}的前n项和,,则=( )

A.10 B.-5 C.9 D.-8

练习册系列答案
相关习题

科目:高中数学 来源:2016届山西省高三上期中文科数学试卷(解析版) 题型:解答题

某市政府欲在如图所示的矩形的非农业用地中规划出一个休闲娱乐公园(如图中阴影部分),形状为直角梯形(线段为两条底边),已知,其中曲线是以为顶点、为对称轴的抛物线的一部分.

(1)以为原点,所在直线为轴建立直角坐标系,求曲线所在抛物线的方程;

(2)求该公园的最大面积.

查看答案和解析>>

科目:高中数学 来源:2016届河北省高三上学期期中考试理科数学试卷(解析版) 题型:选择题

如图所示,在直三棱柱ABC-A1B1C1中, BC=AC ,AC1⊥A1B,M,N分别是A1B1,AB的中点,给出下列结论:①C1M⊥平面A1ABB1,②A1B⊥NB1 ,③平面AMC1⊥平面CBA1 ,其中正确结论的个数为 ( )

A.0 B.1 C.2 D.3

查看答案和解析>>

科目:高中数学 来源:2015-2016学年湖北航天高中等校高二上学期期中联考数学试卷(解析版) 题型:解答题

甲、乙两人约定在6时到7时之间在某处会面,并约定先到者应等候另一人一刻钟,过时即可离去,求两人能会面的概率

查看答案和解析>>

科目:高中数学 来源:2015-2016学年河北省邯郸市等校高二上学期期中文科数学试卷(解析版) 题型:选择题

若点A的坐标为(3,2),F是抛物线y2=2x的焦点,点M在抛物线上移动时,使|MF|+|MA|取得最小值的M点的坐标为( )

A.(0,0) B. C. D.(2,2)

查看答案和解析>>

科目:高中数学 来源:2015-2016学年山东省高二上学期期中考试文科数学试卷(解析版) 题型:填空题

在数列中,,则的值为

查看答案和解析>>

科目:高中数学 来源:2015-2016学年四川省德阳市高二上学期期中考试数学试卷(解析版) 题型:选择题

若直线与圆的两个交点关于直线对称,则的值分别为( )

A.

B.

C.

D.

查看答案和解析>>

科目:高中数学 来源:2016届重庆市高三12月月考理科数学试卷(解析版) 题型:解答题

已知存在实数使得

(1)若,求的值;

(2)当时,若存在实数使得对任意恒成立,求的最值.

查看答案和解析>>

科目:高中数学 来源:2016届甘肃省高三上第四次月考文科数学试卷(解析版) 题型:填空题

若实数满足,则的取值范围是_________

查看答案和解析>>

同步练习册答案