精英家教网 > 高中数学 > 题目详情
设椭圆的左、右焦点分别为F1,F2,点P(a,b)满足|PF2|=|F1F2|,
(Ⅰ)求椭圆的离心率e;
(Ⅱ)设直线PF2与椭圆相交于A,B两点,若直线PF2与圆(x+1)2+(y-)2=16相交于M,N两点,且|MN|=|AB|,求椭圆的方程。
解:(Ⅰ)设
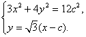
因为,所以
整理得
(舍)或,所以
(Ⅱ)由(Ⅰ)知,可得椭圆方程为
直线PF2的方程为
A,B两点的坐标满足方程组
消去y并整理,得,解得
得方程组的解
不妨设
所以
于是
圆心到直线PF2的距离
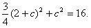
因为,所以
整理得,得(舍)或c=2,
所以椭圆方程为
练习册系列答案
相关习题

科目:高中数学 来源: 题型:

已知中心在坐标原点、焦点在x轴上椭圆的离心率e=
3
3
,以原点为圆心,椭圆的短半轴长为半径的圆与直线y=x+2相切.
(1)求该椭圆的标准方程;
(2)设椭圆的左,右焦点分别是F1和F2,直线l1过F2且与x轴垂直,动直线l2与y轴垂直,l2交l1于点P,求线段PF1的垂直平分线与l2的交点M的轨迹方程,并指明曲线类型.

查看答案和解析>>

科目:高中数学 来源: 题型:

(08年四川卷理)设椭圆的左、右焦点分别是,离心率,右准线上的两动点,且

(Ⅰ)若,求的值;

(Ⅱ)当最小时,求证共线.

查看答案和解析>>

科目:高中数学 来源: 题型:

(本小题满分12分) 已知椭圆的离心率,以原点为圆心,椭圆的短半轴长为半径的圆与直线相切。(I)求a与b;(II)设椭圆的左,右焦点分别是F1和F2,直线且与x轴垂直,动直线轴垂直,于点P,求线段PF1的垂直平分线与的交点M的轨迹方程,并指明曲线类型。

查看答案和解析>>

科目:高中数学 来源:四川省高考真题 题型:解答题

设椭圆的左、右焦点分别是F1、F2,离心率,右准线l上的两动点M、N,且
(Ⅰ)若,求a、b的值;
(Ⅱ)当最小时,求证共线。

查看答案和解析>>

科目:高中数学 来源:2012-2013学年安徽省黄山市休宁中学高三(上)数学综合练习试卷1(文科)(解析版) 题型:解答题

已知中心在坐标原点、焦点在x轴上椭圆的离心率,以原点为圆心,椭圆的短半轴长为半径的圆与直线y=x+2相切.
(1)求该椭圆的标准方程;
(2)设椭圆的左,右焦点分别是F1和F2,直线l1过F2且与x轴垂直,动直线l2与y轴垂直,l2交l1于点P,求线段PF1的垂直平分线与l2的交点M的轨迹方程,并指明曲线类型.

查看答案和解析>>

同步练习册答案