精英家教网 > 高中数学 > 题目详情

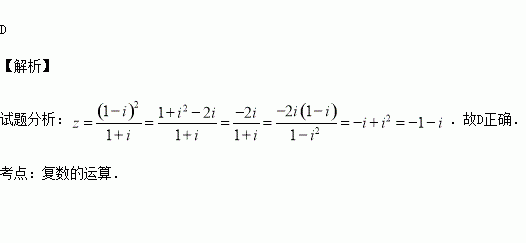
已知复数为虚数单位),则复数( )

A、 B、 C、 D、

练习册系列答案
相关习题

科目:高中数学 来源:2015-2016学年江西省高一上第二次段考数学试卷(解析版) 题型:填空题

已知集合,若,则实数的取值范围是,其中

查看答案和解析>>

科目:高中数学 来源:2016届安徽省高三上第五次月考文科数学试卷(解析版) 题型:解答题

已知点M到点的距离比到点M到直线的距离小4.

(1)求点M的轨迹C的方程;

(2)若曲线C上存在两点A,B关于直线对称,求直线AB的方程.

查看答案和解析>>

科目:高中数学 来源:2016届安徽省高三上第五次月考理科数学试卷(解析版) 题型:解答题

在平面直角坐标系中,已知点,点,点

(1)求经过A,B,C三点的圆P的方程;

(2)过直线上一点Q,作圆P的两条切线,切点分别为A,B,求证:直线AB恒过定点,并求出定点坐标.

查看答案和解析>>

科目:高中数学 来源:2016届安徽省高三上第五次月考理科数学试卷(解析版) 题型:选择题

已知P为抛物线上一个动点,Q为圆上一个动点,那么点到点Q的距离与点P到抛物线的准线距离之和的最小值是( )

A. B. C. D.

查看答案和解析>>

科目:高中数学 来源:2015-2016学年山东省高二上学情调查文科数学卷(解析版) 题型:选择题

不等式的解集是( )

A.

B.

C.

D.R

查看答案和解析>>

科目:高中数学 来源:2015-2016学年四川省高二上期中理科数学试卷(解析版) 题型:填空题

设m∈R,过定点A的动直线x+my=0和过定点B的直线mx﹣y﹣m+3=0交于点P(x,y),则 的最大值是

查看答案和解析>>

科目:高中数学 来源:2015-2016学年湖南师大附中高二上第二次段测理科数学卷(解析版) 题型:解答题

已知椭圆的离心率为,其长轴长与短轴长的和等于6.

(1)求椭圆E的方程;

(2)如图,设椭圆E的上.下顶点分别为,P是椭圆上异于的任意一点,直线分别交x轴于点N.M,若直线OT与过点M.N的圆G相切,切点为T.证明:线段OT的长为定值.

查看答案和解析>>

科目:高中数学 来源:2015-2016学年山东省高二上学期期中考试理科数学试卷(解析版) 题型:解答题

设数列 满足

(1)求数列 的通项公式;

(2)令,求数列的前项和

查看答案和解析>>

同步练习册答案