精英家教网 > 高中数学 > 题目详情

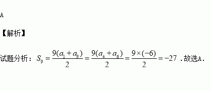
设等差数列的前项和为,已知,则( )

A.-27 B.27 C.-54 D.54

练习册系列答案
相关习题

科目:高中数学 来源:2016届江苏省淮安市高三5月信息卷(最后一模)考试数学试卷(解析版) 题型:填空题

已知函数),且),则

查看答案和解析>>

科目:高中数学 来源:2016届天津市高三下第四次月考文科数学试卷(解析版) 题型:填空题

某三棱锥的三视图如图所示,该三棱锥的体积是______.

查看答案和解析>>

科目:高中数学 来源:2016届宁夏六盘山高中高三第三次模拟考试文科数学试卷(解析版) 题型:解答题

如图,在四边形中,平分.求的长.

查看答案和解析>>

科目:高中数学 来源:2016届宁夏六盘山高中高三第三次模拟考试文科数学试卷(解析版) 题型:选择题

若正四棱锥的正视图和俯视图如图所示,则该几何体的表面积是( )

A. B.4 C. D.8

查看答案和解析>>

科目:高中数学 来源:2015-2016学年河南省高一下期中数学试卷(解析版) 题型:解答题

已知函数,其中为实数,若,对恒成立,且.

(1)求函数的解析式;

(2)求函数上的单调递减区间.

查看答案和解析>>

科目:高中数学 来源:2015-2016学年河南省高一下期中数学试卷(解析版) 题型:填空题

一个均匀的正四面体的表面上分别标有数字1,2,3,4,现随机投掷两次,得到朝下的面上的数字分别为,若方程至少有一根,就称该方程为“漂亮方程”,则方程为“漂亮方程”的概率为 .

查看答案和解析>>

科目:高中数学 来源:2016届吉林省高三第八次模拟考试文科数学试卷(解析版) 题型:解答题

如图,⊙的圆心的直角边上,都是⊙的切线,与⊙相切的切点,是⊙的交点.

(1)证明:

(2)若,求.

查看答案和解析>>

科目:高中数学 来源:2016届吉林省高三第八次模拟考试理科数学试卷(解析版) 题型:选择题

,按照如图所示的程序框图运行后,输出的结果是( )

A. B. C. D.

查看答案和解析>>

同步练习册答案