精英家教网 > 高中数学 > 题目详情

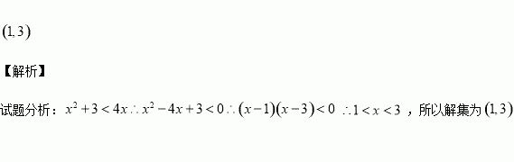
不等式的解集为

练习册系列答案
相关习题

科目:高中数学 来源: 题型:解答题

4.已知直线Ax+By+C=0,设P(x0,y0)为直线Ax+By+C=0上一点,
证明:这条直线的方程可以写成A(x-x0)+B(y-y0)=0.

查看答案和解析>>

科目:高中数学 来源: 题型:选择题

3.若x,y∈R,则“x2>y2”是“x>y”的(  )
A.充分不必要条件B.必要不充分条件
C.充分条件D.既不充分也不必要条件

查看答案和解析>>

科目:高中数学 来源:2016-2017学年河北省高二理上第一次月考数学试卷(解析版) 题型:填空题

数列满足,则=________.

A. B.2 C. D.3

查看答案和解析>>

科目:高中数学 来源:2015-2016学年四川省高二上学期期中考数学试卷(解析版) 题型:解答题

(1)求经过直线l1:2x+3y-5=0与l2:7x+15y+1=0的交点,且平行于直线x+2y-3=0的直线方程;

(2)求与直线3x+4y-7=0垂直,且与原点的距离为6的直线方程.

查看答案和解析>>

科目:高中数学 来源:2015-2016学年四川省高二上学期期中考数学试卷(解析版) 题型:选择题

,若的等比中项,则的最小值为 ( )

A.8 B.9 C.4 D. 3

查看答案和解析>>

科目:高中数学 来源:2015-2016学年四川省高二上学期期中考数学试卷(解析版) 题型:选择题

直线的倾斜角为( )

A. B. C. D.

查看答案和解析>>

科目:高中数学 来源: 题型:选择题

17.已知x,y满足:$\left\{{\begin{array}{l}{x≥0}\\{x+y≤2}\\{x-y≤0}\end{array}}\right.$,若(1,1)是目标函数z=ax+y(a>0)取最大值时的唯一最优解,则实数a取值的集合是(  )
A.{1}B.(0,1)C.(0,1]D.(1,+∞)

查看答案和解析>>

科目:高中数学 来源: 题型:填空题

18.已知抛物线C:y2=ax(a>0)的焦点为F,过焦点F和点P(0,1)的射线FP与抛物线相交于点M,与其准线相交于点N,若|FM|:|MN|=1:3,则a=$\sqrt{2}$.

查看答案和解析>>

同步练习册答案