精英家教网 > 高中数学 > 题目详情

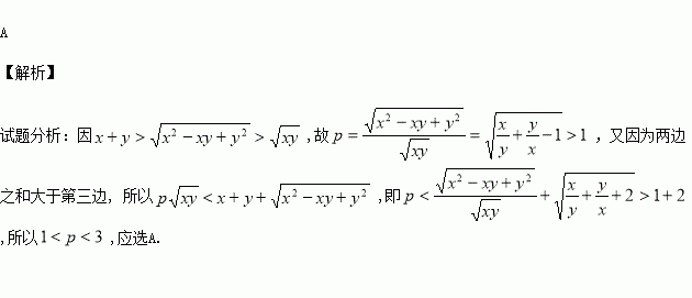
,若对任意的正实数,都存在以为三边长的三角形,则实数的取值范围是( )

A. B. C. D.以上均不正确

练习册系列答案
相关习题

科目:高中数学 来源:2015-2016学年海南文昌中学高二下期末文科数学试卷(解析版) 题型:解答题

已知直角坐标系xOy中,直线l的参数方程为 (t为参数),以直角坐标系xOy中的原点O为极点,x轴的非负半轴为极轴,圆C的极坐标方程为ρ2-4ρcosθ+3=0.

(1)求的普通方程及C的直角坐标方程;

(2)P为圆C上的点,求P到的距离的取值范围.

查看答案和解析>>

科目:高中数学 来源:2015-2016学年西藏日喀则一中高二下期末理科数学试卷(解析版) 题型:解答题

如图所示,一根水平放置的长方体枕木的安全负荷与它的厚度的平方和宽度

的乘积成正比,与它的长度的平方成反比.

(Ⅰ)在的条件下,将此枕木翻转(即宽度变为了厚度),枕木的安全负荷会发生变化吗?变大还是变小?

(Ⅱ)现有一根横截面为半圆(半圆的半径为)的柱形木材,用它截取成横截面为长方形的枕木,其长度即为枕木规定的长度,问横截面如何截取,可使安全负荷最大?

查看答案和解析>>

科目:高中数学 来源:2015-2016学年西藏日喀则一中高二下期末理科数学试卷(解析版) 题型:选择题

下列命题中正确的是( )

A.若为真命题,则为真命题

B.“”是“”的充分不必要条件

C.命题“,使得”的否定是“,都有

D.命题“若,则”的否命题为“若,则

查看答案和解析>>

科目:高中数学 来源:2015-2016学年江西上高二中高一下期末文科数学试卷(解析版) 题型:解答题

已知直线.

(1)若,求实数的值;

(2)若,求实数的值.

查看答案和解析>>

科目:高中数学 来源:2015-2016学年江西上高二中高一下期末文科数学试卷(解析版) 题型:选择题

满足约束条件,则的最大值为( )

查看答案和解析>>

科目:高中数学 来源:2015-2016学年江西上高二中高一下期末理科数学试卷(解析版) 题型:解答题

已知数列的前项和为,若.

(1)求数列的通项公式;

(2)设,数列的前项和为.

①求

②对于任意的,不等式恒成立,求实数的取值范围.

查看答案和解析>>

科目:高中数学 来源:2015-2016学年江西上高二中高一下期末理科数学试卷(解析版) 题型:选择题

,则下列不等式成立的是( )

A. B.

C. D.

查看答案和解析>>

科目:高中数学 来源:2015-2016学年重庆八中高二下阶段检测八文科数学试卷(解析版) 题型:选择题

是奇函数,且的一个零点,则一定是下列哪个函数的零点( )

A.

B.

C.

D.

查看答案和解析>>

同步练习册答案