精英家教网 > 高中数学 > 题目详情
在△ABC中,a,b,c分别是角A,B,C的对边长,且sinA=
(1)若a2-c2=b2-mbc,求实数m的值;
(2)若a=,求△ABC面积的最大值.

解:(1)将两边平方,得2sin2A=3cosA,
即(2cosA-1)(cosA+2)=0,得
又a2-c2=b2-mbc,即
,∴m=1。
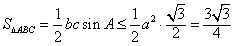
(2)由(1)知,得

∴bc=b2+c2-a2≥2bc-a2,即bc≤a2(当且仅当b=c时等号成立),

即△ABC面积的最大值为

练习册系列答案
  • 微课程单元自测系列答案
  • 微课程学案导学系列答案
  • 优化全练系列答案
  • 智汇图书计算天天练系列答案
  • 小学同步达标单元双测AB卷系列答案
  • 基础精练系列答案
  • 练习册河北大学出版社系列答案
  • 100分夺冠卷系列答案
  • 探究学案全程导学与测评系列答案
  • 中考备战系列答案
  • 年级 高中课程 年级 初中课程
    高一 高一免费课程推荐! 初一 初一免费课程推荐!
    高二 高二免费课程推荐! 初二 初二免费课程推荐!
    高三 高三免费课程推荐! 初三 初三免费课程推荐!
    相关习题

    科目:高中数学 来源: 题型:

    在△ABC中,∠A、∠B、∠C所对的边长分别是a、b、c.满足2acosC+ccosA=b.则sinA+sinB的最大值是(  )
    A、
    2
    2
    B、1
    C、
    2
    D、
    1+
    2
    2

    查看答案和解析>>

    科目:高中数学 来源: 题型:

    在△ABC中,a<b<c,B=60°,面积为10
    3
    cm2,周长为20cm,求此三角形的各边长.

    查看答案和解析>>

    科目:高中数学 来源: 题型:

    在△ABC中,a,b,c分别为角A,B,C的对边,已知
    .
    m
    =(cos
    C
    2
    ,sin
    C
    2
    )
    .
    n
    =(cos
    C
    2
    ,-sin
    C
    2
    )
    ,且
    m
    n
    =
    1
    2

    (1)求角C;
    (2)若a+b=
    11
    2
    ,△ABC的面积S=
    3
    3
    2
    ,求边c的值.

    查看答案和解析>>

    科目:高中数学 来源: 题型:

    在△ABC中,A,B,C为三个内角,若cotA•cotB>1,则△ABC是(  )

    查看答案和解析>>

    科目:高中数学 来源: 题型:

    已知y=f(x)函数的图象是由y=sinx的图象经过如下三步变换得到的:
    ①将y=sinx的图象整体向左平移
    π
    6
    个单位;
    ②将①中的图象的纵坐标不变,横坐标缩短为原来的
    1
    2

    ③将②中的图象的横坐标不变,纵坐标伸长为原来的2倍.
    (1)求f(x)的周期和对称轴;
    (2)在△ABC中,a,b,c分别是角A,B,C的对边,且f(C)=2,c=1,ab=2
    3
    ,且a>b,求a,b的值.

    查看答案和解析>>

    同步练习册答案