精英家教网 > 高中数学 > 题目详情
已知函数f(x)=lnx,g(x)=x2﹣2x.
(1)设h(x)=f(x+1)﹣g'(x)(其中g'(x)是g(x)的导函数),求h(x)的最大值;
(2)证明:当0<b<a时,求证:f(a+b)﹣f(2b)<
(3)设k∈Z,当x>1时,不等式k(x﹣1)<xf(x)+3g'(x)+4恒成立,求k的最大值.

解:(1)h(x)=f(x+1)﹣g'(x)=ln(x+1)﹣x+2,x>﹣1,
所以 h'(x)=﹣1=
当﹣1<x<0时,h'(x)>0;
当x>0时,h'(x)<0.
因此,h'(x)在(﹣1,0)上单调递增,在(0,+∞)上单调递减.
因此,当x=0时h(x)取得最大值h(0)=2;
(2)证明:当0<b<a时,﹣1<<0,
由(1)知:当﹣1<x<0时,h(x)<2,即ln(x+1)<x.
因此,有f(a+b)﹣f(2a)=ln=ln(1+)<
(3)不等式k(x﹣1)<xf(x)+3g'(x)+4化为k<+2
所以k<+2对任意x>1恒成立.
令g(x)=+2,则g'(x)=
令h(x)=x﹣lnx﹣2(x>1),则 h'(x)=1﹣=>0,
所以函数h(x)在(1,+∞)上单调递增.
因为h(3)=1﹣ln3<0,h(4)=2﹣2ln2>0,
所以方程h(x)=0在(1,+∞)上存在唯一实根x0,且满足x0∈(3,4).
当1<x<x0时,h(x)<0,即g'(x)<0,
当x>x0时,h(x)>0,即g'(x)>0,
所以函数g(x)=+2在(1,x0)上单调递减,在(x0,+∞)上单调递增.
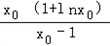
所以[g(x)]min=g(x0)=+2=+2=x0+2∈(5,6).
所以k<[g(x)]min=x0+2∈(5,6).
k的最大值是5.

练习册系列答案
相关习题

科目:高中数学 来源: 题型:

已知函数f(x)=2x-2+ae-x(a∈R)
(1)若曲线y=f(x)在点(1,f(1))处的切线平行于x轴,求a的值;
(2)当a=1时,若直线l:y=kx-2与曲线y=f(x)在(-∞,0)上有公共点,求k的取值范围.

查看答案和解析>>

科目:高中数学 来源: 题型:

已知函数f(x)=x2+2|lnx-1|.
(1)求函数y=f(x)的最小值;
(2)证明:对任意x∈[1,+∞),lnx≥
2(x-1)
x+1
恒成立;
(3)对于函数f(x)图象上的不同两点A(x1,y1),B(x2,y2)(x1<x2),如果在函数f(x)图象上存在点M(x0,y0)(其中x0∈(x1,x2))使得点M处的切线l∥AB,则称直线AB存在“伴侣切线”.特别地,当x0=
x1+x2
2
时,又称直线AB存在“中值伴侣切线”.试问:当x≥e时,对于函数f(x)图象上不同两点A、B,直线AB是否存在“中值伴侣切线”?证明你的结论.

查看答案和解析>>

科目:高中数学 来源: 题型:

已知函数f(x)=x2-bx的图象在点A(1,f(1))处的切线l与直线x+3y-1=0垂直,若数列{
1
f(n)
}的前n项和为Sn,则S2012的值为(  )

查看答案和解析>>

科目:高中数学 来源: 题型:

已知函数f(x)=xlnx
(Ⅰ)求函数f(x)的极值点;
(Ⅱ)若直线l过点(0,-1),并且与曲线y=f(x)相切,求直线l的方程.

查看答案和解析>>

科目:高中数学 来源: 题型:

已知函数f(x)=
3
x
a
+
3
(a-1)
x
,a≠0且a≠1.
(1)试就实数a的不同取值,写出该函数的单调增区间;
(2)已知当x>0时,函数在(0,
6
)上单调递减,在(
6
,+∞)上单调递增,求a的值并写出函数的解析式;
(3)记(2)中的函数图象为曲线C,试问是否存在经过原点的直线l,使得l为曲线C的对称轴?若存在,求出直线l的方程;若不存在,请说明理由.

查看答案和解析>>

同步练习册答案