精英家教网 > 高中数学 > 题目详情

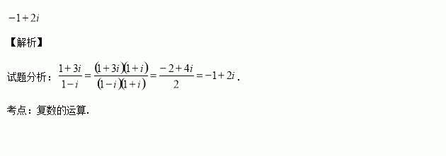
是虚数单位,复数 .

练习册系列答案
相关习题

科目:高中数学 来源:2014-2015学年江西省鹰潭市高三第一次模拟考试理科数学试卷(解析版) 题型:解答题

(本小题满分12分)在如图所示的几何体中,平面的中点,

(1)证明平面

(2)求二面角的余弦值的大小.

查看答案和解析>>

科目:高中数学 来源:2014-2015学年广东省广州市毕业班综合测试二理科数学试卷(解析版) 题型:解答题

(本小题满分14分)已知圆心在轴上的圆过点,圆的方程为

(1)求圆的方程;

(2)由圆上的动点向圆作两条切线分别交轴于两点,求的取值范围.

查看答案和解析>>

科目:高中数学 来源:2014-2015学年广东省广州市毕业班综合测试二理科数学试卷(解析版) 题型:选择题

已知函数( )

A. B. C. D.

查看答案和解析>>

科目:高中数学 来源:2014-2015学年天津市河西区高三下学期总复习质量调查一文科数学试卷(解析版) 题型:解答题

(本小题满分13分)设的内角所对边的长分别是,且.

(1)求的值;

(2)求的值.

查看答案和解析>>

科目:高中数学 来源:2014-2015学年天津市河西区高三下学期总复习质量调查一文科数学试卷(解析版) 题型:选择题

已知双曲线的焦距为,点的渐近线上,则的方程为( )

(A) (B)

(C) (D)

查看答案和解析>>

科目:高中数学 来源:2014-2015学年天津市河西区高三下学期总复习质量调查一理科数学试卷(解析版) 题型:解答题

(本小题满分13分)已知椭圆的焦距为,其短轴的两个端点与长轴的一个端点构成正三角形.

(1)求椭圆的标准方程;

(2)设为椭圆的左焦点,为直线上任意一点,过的垂线交椭圆于点

①证明:平分线段(其中为坐标原点),

②当值最小时,求点的坐标.

查看答案和解析>>

科目:高中数学 来源:2014-2015学年上海市长宁区、嘉定区高三二模文科数学试卷(解析版) 题型:解答题

(本题满分18分)本题共有3个小题,第1小题满分4分,第2小题满分6分,第3小题满分8分.

已知函数,其中.定义数列如下:,

(1)当时,求的值;

(2)是否存在实数,使构成公差不为的等差数列?若存在,请求出实数的值;若不存在,请说明理由;

(3)求证:当时,总能找到,使得

查看答案和解析>>

科目:高中数学 来源:2014-2015学年上海市长宁区、嘉定区高三二模理科数学试卷(解析版) 题型:填空题

设等差数列满足,,的前项和的最大值为,则=__________.

查看答案和解析>>

同步练习册答案