精英家教网 > 高中数学 > 题目详情

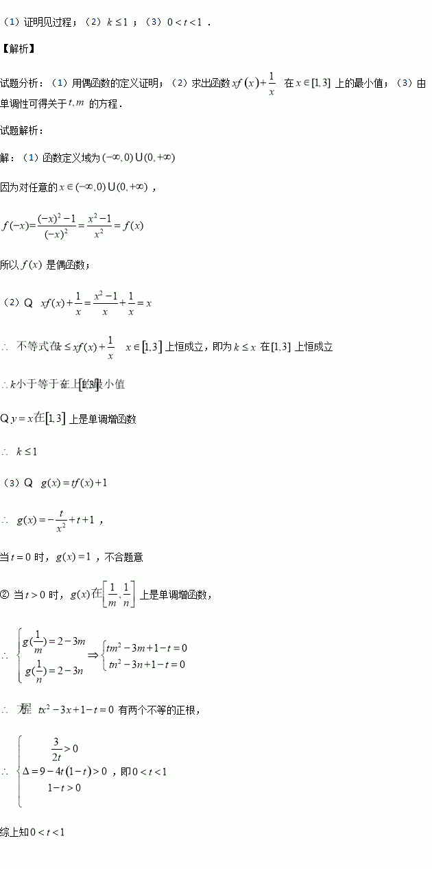
已知函数

(1)证明为偶函数;

(2)若不等式上恒成立,求实数的取值范围;

(3)当x∈(m>0,n>0)时,函数的值域为[2-3m,2-3n],求实数t的取值范围.

练习册系列答案
相关习题

科目:高中数学 来源:2016届山东省高三12月月考理科数学试卷(解析版) 题型:填空题

定义在上的奇函数满足,当时,,则以下结论中正确的是______

图像关于点对称;

是以2为周期的周期函数;

③当时,

内单调递增

查看答案和解析>>

科目:高中数学 来源:2016届浙江省临海市高三上第三次统练文科数学试卷(解析版) 题型:填空题

为平面向量,若,则的最小值为 的最小值为

查看答案和解析>>

科目:高中数学 来源:2015-2016学年河北省邯郸市等校高二上学期期中文科数学试卷(解析版) 题型:选择题

等比数列中,,则数列的前10项和等于( )

A.2 B. C.10 D.5

查看答案和解析>>

科目:高中数学 来源:2015-2016学年湖北省等高二上学期期中联考文科数学试卷(解析版) 题型:解答题

某中学举行了一次“数学基础知识竞赛”活动.为了了解本次竞赛学生的成绩情况,从中抽取了部分学生的分数(得分取正整数,满分为100分)作为样本(样本容量为)进行统计.按照的分组作出频率分布直方图,并作出样本分数的茎叶图(图中仅列出了得分在的数据).

(1)求样本容量和频率分布直方图中的的值;

(2)在选取的样本中,从竞赛成绩在80分以上(含80分)的学生中随机抽取2名学生参加“市级数学基础知识竞赛”,求所抽取的2名学生中恰有一人得分在内的概率.

查看答案和解析>>

科目:高中数学 来源:2015-2016学年湖南省高二上学期期中考试文科数学试卷(解析版) 题型:填空题

是函数 的两个不同的零点,且 这三个数可适当排序后成等差数列,也可适当排序后成等比数列,则 的值等于________.

查看答案和解析>>

科目:高中数学 来源:2015-2016学年湖南株洲二中高二上第三次月考理数学卷(解析版) 题型:选择题

已知正四棱柱中,中点,则异面直线所成的角的余弦值为( )

A. B. C. D.

查看答案和解析>>

科目:高中数学 来源:2016届辽宁省大连市高三12月月考理科数学试卷(解析版) 题型:选择题

在三角形ABC中,AB=2,AC=4.P是三角形ABC的外心,数量积等于( )

A.6 B.-6 C.3 D.-3

查看答案和解析>>

科目:高中数学 来源:2016届福建省高三上学期期中文科数学试卷(解析版) 题型:填空题

已知实数满足 ,则的最大值为

查看答案和解析>>

同步练习册答案