精英家教网 > 高中数学 > 题目详情

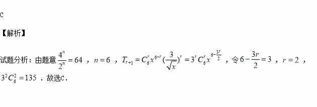
的展开式中,各项系数和与二项式系数和之比为64,则的系数为( )

A.15 B.45 C.135 D.405

练习册系列答案
相关习题

科目:高中数学 来源:2017届湖北黄石市高三9月调研数学(文)试卷(解析版) 题型:填空题

某品牌洗衣机专卖店在国庆期间举行了八天的促销活动,每天的销量(单位:台)茎叶图如右,则销售量的中位数是 ___________.

查看答案和解析>>

科目:高中数学 来源:2017届山东枣庄三中高三9月质检数学(理)试卷(解析版) 题型:填空题

已知是定义在实数集上的函数,且,则

查看答案和解析>>

科目:高中数学 来源:2017届浙江温州市高三8月模拟考试数学试卷(解析版) 题型:解答题

如图,四棱锥中,,点在底面上的射影为线段的中点

(1)若为棱的中点,求证:平面

(2)求二面角的平面角的余弦值.

查看答案和解析>>

科目:高中数学 来源:2017届浙江温州市高三8月模拟考试数学试卷(解析版) 题型:填空题

已知等差数列的前项和为,若,则__________,_________.

查看答案和解析>>

科目:高中数学 来源:2017届内蒙古高三上入学摸底数学理试卷(解析版) 题型:解答题

已知函数.

(1)解不等式:

(2)已知,求证:恒成立.

查看答案和解析>>

科目:高中数学 来源:2017届内蒙古高三上入学摸底数学理试卷(解析版) 题型:解答题

在等差数列中,,其前项和为,等比数列的各项均为正数,,公比为,且

(1)求

(2)证明:

查看答案和解析>>

科目:高中数学 来源:2015-2016学年海南省高二下学期期末数学(文)试卷(解析版) 题型:解答题

已知函数是奇函数,且

(1)求a,b,c的值;

(2)判断函数上的单调性,并用定义证明你的结论;

(3)解关于的不等式:

查看答案和解析>>

科目:高中数学 来源:2015-2016学年海南省高二下学期期末数学(理)试卷(解析版) 题型:选择题

如果,设),则( )

A. B. C. D.

查看答案和解析>>

同步练习册答案