精英家教网 > 高中数学 > 题目详情

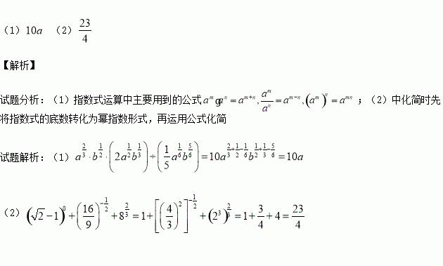
(本题6分)

(1)化简

(2)计算

练习册系列答案
相关习题

科目:高中数学 来源:2015-2016学年福建省师大附高二上期中理科数学试卷(解析版) 题型:选择题

已知,下列结论成立的是( )

A.若,则

B.若,则

C.若,则

D.若,则

查看答案和解析>>

科目:高中数学 来源:2015-2016学年广东省英德市高二上学期第一次月考理科数学试卷(解析版) 题型:填空题

焦点在轴上的椭圆的离心率为,则的值为___________.

查看答案和解析>>

科目:高中数学 来源:2014-2015学年浙江省等三校高二上学期期中考试数学试卷(解析版) 题型:填空题

已知等差数列{an}的公差为d(d≠0),且a3+a6+a10+a13=32,若am=8,则m=________.

查看答案和解析>>

科目:高中数学 来源:2016届浙江省高三10月月考文科数学试卷(解析版) 题型:解答题

(本小题满分15分)如图,设抛物线方程为,M为直线上任意一点,过M引抛物线的切线,切点分别为A、B.若抛物线上一点P到直线l的距离为d,F为焦点时,

(Ⅰ)抛物线方程;

(Ⅱ)求M到直线AB的距离的最小值.

查看答案和解析>>

科目:高中数学 来源:2015-2016学年浙江省平湖市高一10月月考数学试卷(解析版) 题型:选择题

设集合,集合,那么等于( )

A.{3,4,5,6,7,8}

B.{5,8}

C.{3,5,7,8}

D.{4,5,6,8}

查看答案和解析>>

科目:高中数学 来源:2015-2016学年四川成都市六校高一上学期期中联考数学试卷(解析版) 题型:填空题

函数的定义域是

查看答案和解析>>

科目:高中数学 来源:2015-2016学年江苏省泰州市姜堰区高一上学期期中考试数学试卷(解析版) 题型:填空题

若函数是偶函数,则的递减区间是

查看答案和解析>>

科目:高中数学 来源:2016届湖南省常德市高三上第五次月考理科数学试卷(解析版) 题型:填空题

已知圆 及抛物线,过圆心P作直线,此直线与上述两曲线的四个交点自左向右顺次记为A,B,C,D,如果线段的长按此顺序构成一个等差数列,则直线的斜率为________ .

查看答案和解析>>

同步练习册答案