精英家教网 > 高中数学 > 题目详情

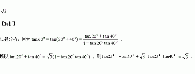
式子tan20° +tan40°+tan20°tan40°的值是____.

练习册系列答案
相关习题

科目:高中数学 来源: 题型:


如图K42­2所示,正方体ABCD ­ A1B1C1D1中,AB=2,点E为AD的中点,点F在CD上.若EF∥平面AB1C,则线段EF的长度等于________.

查看答案和解析>>

科目:高中数学 来源: 题型:


如图K45­3所示,直三棱柱ABC ­ A1B1C1中,AB=AC=1,AA1=2,∠B1A1C1=90°,D为BB1的中点,则异面直线C1D与A1C所成角的余弦值为________.

查看答案和解析>>

科目:高中数学 来源:2015-2016学年河南省英文学校高二上学期期中考试数学试卷(解析版) 题型:解答题

在△ABC中,a、b、c分别是角A、B、C的对边,且=-

(1)求角B的大小;

(2)若b=,a+c=4,求△ABC的面积.

查看答案和解析>>

科目:高中数学 来源:2015-2016学年河南省英文学校高二上学期期中考试数学试卷(解析版) 题型:选择题

在△ABC中,已知sin2B-sin2C-sin2A=sin Asin C,则角B的大小为

A.60° B.30° C.120° D.150°

查看答案和解析>>

科目:高中数学 来源:2016届四川省成都市高三11月段测三理科数学试卷(解析版) 题型:填空题

己知向量满足||=||=2且,则向量的夹角为

查看答案和解析>>

科目:高中数学 来源:2016届江西省高三上学期第三次考试理科数学试卷(解析版) 题型:填空题

已知函数的定义域为, 若≥0恒成立,则a的值是

查看答案和解析>>

科目:高中数学 来源:2015-2016学年西藏日喀则一中高二10月月考文数学试卷(解析版) 题型:填空题

为虚数单位,计算

查看答案和解析>>

科目:高中数学 来源:2015-2016学年湖南省高二上学期期中文科数学试卷(解析版) 题型:填空题

当函数y=sinx﹣cosx(0≤x<2π)取得最大值时,x=

查看答案和解析>>

同步练习册答案