精英家教网 > 高中数学 > 题目详情

已知直线交抛物线于A,B两点,且, 其中,点为坐标原点,点的坐标为.


解: (I)因为点在抛物线上,

   所以,                                  

   解得,                                     

   故抛物线C的方程为.                       

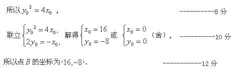
    (II)设点的坐标为 ,由题意可知,

    直线的斜率,直线的斜率 ,    

    因为,所以,      

    又因为点在抛物线上,


练习册系列答案
相关习题

科目:高中数学 来源: 题型:


若直线ykx+1与圆x2y2=1相交于PQ两点,且∠POQ=120°(其中O为原点),则k的值为(   )

A.-    B.     C.-       D.

查看答案和解析>>

科目:高中数学 来源: 题型:


,且),则函数的定义域为(   )

A.            B.             C.            D.

查看答案和解析>>

科目:高中数学 来源: 题型:


在正方体ABCD-A1B1C1D1中,直线BC1与平面A1BD所成角的余弦值               为(  )     A.         B.        C.           D.

查看答案和解析>>

科目:高中数学 来源: 题型:


查看答案和解析>>

科目:高中数学 来源: 题型:


,函数,则的值等于(   )

A.                 B.                  C.                 D.

查看答案和解析>>

科目:高中数学 来源: 题型:


已知点分别是正方体的棱的中点,点分别在线段上,则以为顶点的三棱锥的俯视图不可能是(   )

A.         B.         C.         D.

查看答案和解析>>

科目:高中数学 来源: 题型:


=(1,-2),=(a,-1),=(-b,0),a>0,b>0,O为坐标原点.若A,B,C三点共线,则的最小值是

    A.2          B.4          C.6          D.8

查看答案和解析>>

科目:高中数学 来源: 题型:


 函数的定义域是 (    )

A.(-,-1)   B.(1,+)    C.(-1,1)∪(1,+) D.(-,+)

查看答案和解析>>

同步练习册答案