精英家教网 > 高中数学 > 题目详情

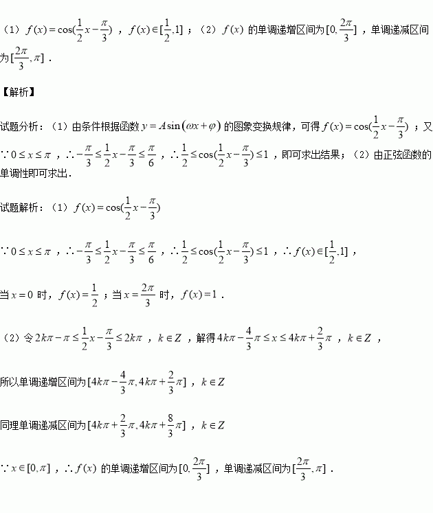
将函数的图象上的每一点的纵坐标不变,横坐标缩短为原来的一半,再将图象向右平移个单位长度得到函数的图象.

(1)直接写出的表达式,并求出上的值域;

(2)求出上的单调区间.

练习册系列答案
相关习题

科目:高中数学 来源:2016届海南省高三考前高考模拟七文科数学试卷(解析版) 题型:解答题

如图,棱柱的底面是菱形.侧棱长为,平面平面,点的重心,且.

(1)求证:平面平面

(2)求棱柱的体积.

查看答案和解析>>

科目:高中数学 来源:2016届海南省高三考前高考模拟七理科数学试卷(解析版) 题型:选择题

已知集合,则( )

A. B.

C. D.

查看答案和解析>>

科目:高中数学 来源:2016届陕西省高三第四次考试文科数学试卷(解析版) 题型:选择题

要得到函数的图像,只需将函数的图像沿轴( )

A.向左平移个单位 B.向左平移个单位

C.向右平移个单位 D.向右平移个单位

查看答案和解析>>

科目:高中数学 来源:2016届陕西省高三第四次考试文科数学试卷(解析版) 题型:选择题

集合,则( )

A. B. C. D.

查看答案和解析>>

科目:高中数学 来源:2015-2016学年辽宁省高一下期中数学试卷(解析版) 题型:填空题

掷三枚硬币,至少出现两个正面的概率为 .

查看答案和解析>>

科目:高中数学 来源:2015-2016学年辽宁省高一下期中数学试卷(解析版) 题型:选择题

若样本数据的标准差为2,则数据的标准差为( )

A.3 B.-3 C.4 D.-4

查看答案和解析>>

科目:高中数学 来源:2015-2016学年山西省高一下期中文科数学试卷(解析版) 题型:选择题

函数,将函数的图象向右平移个单位长度后,所得的图象与原图象重合,则的最小值等于( )

A. B.3 C.6 D.9

查看答案和解析>>

科目:高中数学 来源:2015-2016学年河北省高一下3.20周考数学卷(解析版) 题型:填空题

已知数列满足:,则________;________.

查看答案和解析>>

同步练习册答案